Abstract:Large Language Models (LLMs) currently exhibit low success rates in generating correct and intent-aligned Infrastructure as Code (IaC). This research investigated methods to improve LLM-based IaC generation, specifically for Terraform, by systematically injecting structured configuration knowledge. To facilitate this, an existing IaC-Eval benchmark was significantly enhanced with cloud emulation and automated error analysis. Additionally, a novel error taxonomy for LLM-assisted IaC code generation was developed. A series of knowledge injection techniques was implemented and evaluated, progressing from Naive Retrieval-Augmented Generation (RAG) to more sophisticated Graph RAG approaches. These included semantic enrichment of graph components and modeling inter-resource dependencies. Experimental results demonstrated that while baseline LLM performance was poor (27.1% overall success), injecting structured configuration knowledge increased technical validation success to 75.3% and overall success to 62.6%. Despite these gains in technical correctness, intent alignment plateaued, revealing a "Correctness-Congruence Gap" where LLMs can become proficient "coders" but remain limited "architects" in fulfilling nuanced user intent.


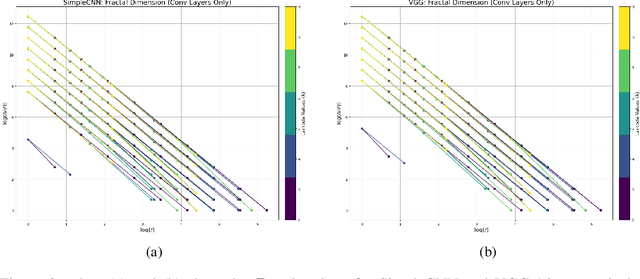
Abstract:This paper conceptualizes the Deep Weight Spaces (DWS) of neural architectures as hierarchical, fractal-like, coarse geometric structures observable at discrete integer scales through recursive dilation. We introduce a coarse group action termed the fractal transformation, $T_{r_k} $, acting under the symmetry group $G = (\mathbb{Z}, +) $, to analyze neural parameter matrices or tensors, by segmenting the underlying discrete grid $\Omega$ into $N(r_k)$ fractals across varying observation scales $ r_k $. This perspective adopts a box count technique, commonly used to assess the hierarchical and scale-related geometry of physical structures, which has been extensively formalized under the topic of fractal geometry. We assess the structural complexity of neural layers by estimating the Hausdorff-Besicovitch dimension of their layers and evaluating a degree of self-similarity. The fractal transformation features key algebraic properties such as linearity, identity, and asymptotic invertibility, which is a signature of coarse structures. We show that the coarse group action exhibits a set of symmetries such as Discrete Scale Invariance (DSI) under recursive dilation, strong invariance followed by weak equivariance to permutations, alongside respecting the scaling equivariance of activation functions, defined by the intertwiner group relations. Our framework targets large-scale structural properties of DWS, deliberately overlooking minor inconsistencies to focus on significant geometric characteristics of neural networks. Experiments on CIFAR-10 using ResNet-18, VGG-16, and a custom CNN validate our approach, demonstrating effective fractal segmentation and structural analysis.
Abstract:This paper introduces a scale-invariant methodology employing \textit{Fractal Geometry} to analyze and explain the nonlinear dynamics of complex connectionist systems. By leveraging architectural self-similarity in Deep Neural Networks (DNNs), we quantify fractal dimensions and \textit{roughness} to deeply understand their dynamics and enhance the quality of \textit{intrinsic} explanations. Our approach integrates principles from Chaos Theory to improve visualizations of fractal evolution and utilizes a Graph-Based Neural Network for reconstructing network topology. This strategy aims at advancing the \textit{intrinsic} explainability of connectionist Artificial Intelligence (AI) systems.