


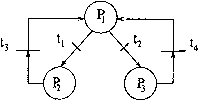
Abstract:This paper proposes a method to find the actual state of a complex dynamic system from information coming from the sensors on the system himself, or on its environment. The nominal evolution of the system is a priori known and can be modeled (by an expert, for example), by different methods. In this paper, the Petri nets have been chosen. Contrary to the usual use of the Petri nets, the initial state of the system is unknown. So a degree of belief is bound to each places, or set of places. The theory used to model this uncertainty is the Dempster-Shafer's one which is well adapted to this type of problems. From the given Petri net characterizing the nominal evolution of the dynamic system, and from the observation inputs, the proposed method allows to determine according to the reliability of the model and the inputs, the state of the system at any time.