
Abstract:The aim of the k-means is to minimize squared sum of Euclidean distance from the mean (SSEDM) of each cluster. The k-means can effectively optimize this function, but it is too sensitive for initial centers (seeds). This paper proposed a method for initialization of the k-means using the concept of useful nearest center for each data point.




Abstract:The Travelling Salesman Problem (TSP) is one of the most famous optimization problems. The Genetic Algorithm (GA) is one of metaheuristics that have been applied to TSP. The Crossover and mutation operators are two important elements of GA. There are many TSP solver crossover operators. In this paper, we state implementation of some recent TSP solver crossovers at first and then we use each of them in GA to solve some Symmetric TSP (STSP) instances and finally compare their effects on speed and accuracy of presented GA.




Abstract:Ant Colony Algorithm (ACA) and Genetic Local Search (GLS) are two optimization algorithms that have been successfully applied to the Traveling Salesman Problem (TSP). In this paper we define new crossover operator then redefine ACAs ants as operate according to defined crossover operator then put forward our GLS that uses these ants to solve Symmetric TSP (STSP) instances.




Abstract:This paper research review Ant colony optimization (ACO) and Genetic Algorithm (GA), both are two powerful meta-heuristics. This paper explains some major defects of these two algorithm at first then proposes a new model for ACO in which, artificial ants use a quick genetic operator and accelerate their actions in selecting next state. Experimental results show that proposed hybrid algorithm is effective and its performance including speed and accuracy beats other version.




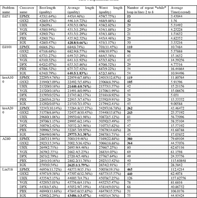
Abstract:The Traveling Salesman Problem (TSP) is one of the most famous optimization problems. Greedy crossover designed by Greffenstette et al, can be used while Symmetric TSP (STSP) is resolved by Genetic Algorithm (GA). Researchers have proposed several versions of greedy crossover. Here we propose improved version of it. We compare our greedy crossover with some of recent crossovers, we use our greedy crossover and some recent crossovers in GA then compare crossovers on speed and accuracy.