



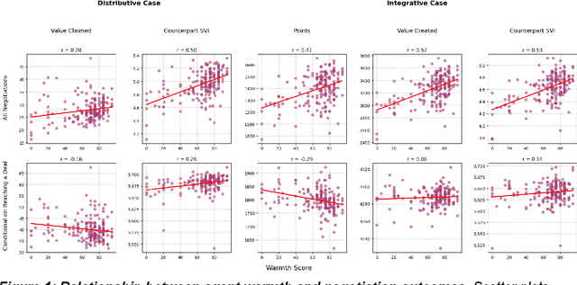
Abstract:Despite the rapid proliferation of artificial intelligence (AI) negotiation agents, there has been limited integration of computer science research and established negotiation theory to develop new theories of AI negotiation. To bridge this gap, we conducted an International AI Negotiations Competition in which participants iteratively designed and refined prompts for large language model (LLM) negotiation agents. We then facilitated over 120,000 negotiations between these agents across multiple scenarios with diverse characteristics and objectives. Our findings revealed that fundamental principles from established human-human negotiation theory remain crucial in AI-AI negotiations. Specifically, agents exhibiting high warmth fostered higher counterpart subjective value and reached deals more frequently, which enabled them to create and claim more value in integrative settings. However, conditional on reaching a deal, warm agents claimed less value while dominant agents claimed more value. These results align with classic negotiation theory emphasizing relationship-building, assertiveness, and preparation. Our analysis also revealed unique dynamics in AI-AI negotiations not fully explained by negotiation theory, particularly regarding the effectiveness of AI-specific strategies like chain-of-thought reasoning and prompt injection. The agent that won our competition implemented an approach that blended traditional negotiation preparation frameworks with AI-specific methods. Together, these results suggest the importance of establishing a new theory of AI negotiations that integrates established negotiation theory with AI-specific strategies to optimize agent performance. Our research suggests this new theory must account for the unique characteristics of autonomous agents and establish the conditions under which traditional negotiation theory applies in automated settings.
Abstract:Large language models (LLMs), initially developed for generative AI, are now evolving into agentic AI systems, which make decisions in complex, real-world contexts. Unfortunately, while their generative capabilities are well-documented, their decision-making processes remain poorly understood. This is particularly evident when models are handling exceptions, a critical and challenging aspect of decision-making made relevant by the inherent incompleteness of contracts. Here we demonstrate that LLMs, even ones that excel at reasoning, deviate significantly from human judgments because they adhere strictly to policies, even when such adherence is impractical, suboptimal, or even counterproductive. We then evaluate three approaches to tuning AI agents to handle exceptions: ethical framework prompting, chain-of-thought reasoning, and supervised fine-tuning. We find that while ethical framework prompting fails and chain-of-thought prompting provides only slight improvements, supervised fine-tuning, specifically with human explanations, yields markedly better results. Surprisingly, in our experiments, supervised fine-tuning even enabled models to generalize human-like decision-making to novel scenarios, demonstrating transfer learning of human-aligned decision-making across contexts. Furthermore, fine-tuning with explanations, not just labels, was critical for alignment, suggesting that aligning LLMs with human judgment requires explicit training on how decisions are made, not just which decisions are made. These findings highlight the need to address LLMs' shortcomings in handling exceptions in order to guide the development of agentic AI toward models that can effectively align with human judgment and simultaneously adapt to novel contexts.