Abstract:Reconfigurable Intelligent Surfaces (RIS) is becoming a transformative technology for the upcoming 6G communication networks, providing a way for smartly maneuvering the electromagnetic waves to enhance coverage and connectivity. This paper presents an efficient handover (HO) management scheme leveraging RIS in the Fresnel region i.e., in both the near-field (NF) and far-field (FF) regions to reduce signaling overhead and optimize mobility management. For this, we analyzed the signal strength variations in the considered RIS-aided networks, considering the radiative NF and FF regions, and derive the probability density function (PDF) of the RIS-UE distance in the NF region to quantify RIS reflection gains along the user equipment (UE) trajectory. We propose a new HO algorithm incorporating several HO categories like hard handover (HHO), soft handover (SHO), RIS-aided cell breathing (RIS-CB), and RIS-aided ping-pong avoidance (RIS-PP) strategies. The proposed algorithm uses bit error rate (BER) as a key parameter to predict the minimization of unnecessary HOs by using RIS-aided pathways to retain connectivity with the serving base station (BS), which minimizes the requirement for frequent target BS searching and ultimately optimizes the HO. By restricting measurement reports and HO requests, the suggested method improves spectrum efficiency (SE) and energy efficiency (EE), especially in crowded cellular networks. Numerical results highlight significant reductions in HO rates and signaling load, ensuring seamless connectivity and improved quality of service (QoS) in 6G systems.
Abstract:This letter introduces a novel data-dependent interleaving technique designed to enhance the security of rate-splitting multiple access (RSMA) networks by protecting the common stream from eavesdropping threats. Specifically, we exploit the RSMA structure by interleaving the common bits of each user based on a sequence derived from their private bits. By decoding its private stream, the legitimate receiver reconstructs the interleaving sequence set by the transmitter and successfully de-interleaves the common stream. Therefore, the common part is successfully prevented from being intercepted by an eavesdropper who is unable to deduce the dynamic changing interleaving permutations. To ensure dynamic interleaving sequences, a private bit selection approach that balances the trade-off between security and system efficiency is proposed. Simulation findings confirm the effectiveness of the suggested method, showing notable security improvements while maintaining robust overall system reliability.
Abstract:Rate splitting multiple access (RSMA) has firmly established itself as a powerful methodology for multiple access, interference management, and multi-user strategy for next-generation communication systems. In this paper, we propose a novel channel-dependent splitter design for multi-carrier RSMA systems, aimed at improving reliability performance. Specifically, the proposed splitter leverages channel state information and the inherent structure of RSMA to intelligently replicate segments of the private stream data that are likely to encounter deep-faded subchannels into the common stream. Thus, the reliability is enhanced within the same transmission slot, minimizing the need for frequent retransmissions and thereby reducing latency. To assess the effectiveness of our approach, we conduct comprehensive evaluations using key performance metrics, including achievable sum rate, average packet delay, and bit error rate (BER), under both perfect and imperfect channel estimation scenarios.
Abstract:This study presents a framework designed to mitigate direct-link interference (DLI) and inter-backscatter device interference (IBDI) in multi-backscatter orthogonal frequency division multiplexing (OFDM)-based symbiotic radio (SR) systems. The framework employs OFDM signal designs with strategic allocation of null subcarriers and incorporates two backscatter modulation techniques: on-off frequency shift keying (OFSK) and multiple frequency shift keying (MFSK) for symbiotic backscatter communication (SBC). Additionally, we propose Fully-Orthogonal and Semi-Orthogonal multiple access schemes to facilitate SBC alongside primary communication. The Fully-Orthogonal scheme maintains orthogonality between direct link and SBC signals, thereby ensuring interference-free SBC, albeit at a reduced spectral efficiency. In contrast, the Semi-Orthogonal schemes eliminate IBDI but permit partial DLI, striking a balance between reliability and spectral efficiency. To address the partial DLI inherent in Semi-Orthogonal schemes, successive interference cancellation (SIC) is employed at the receiver, enhancing SBC reliability. To tackle channel estimation challenges in SBC within the SR system, we implement non-coherent detection techniques at the receiver. The performance of the proposed system is evaluated based on average bit error rate (BER) and sum-rate metrics, demonstrating the effectiveness of our schemes. We provide analytical results for the system's detection performance under both proposed modulation techniques and multiple access schemes, which are subsequently validated through extensive simulations. These simulations indicate a notable error-rate reduction of up to $10^{-3}$ at $20$ dB with the Fully-Orthogonal scheme with MFSK.




Abstract:Rate-Splitting Multiple Access (RSMA) is a promising strategy for ensuring robust transmission in multi-antenna wireless systems. In this paper, we investigate the performance of RSMA in a downlink Decode-and-Forward (DF) relay scenario under two phases with imperfect Channel State Information (CSI) at the transmitter and the relay. In particular, in the first phase, the Base Station (BS) initially transmits to both BS Users (BUs) and the relay. In the second phase, the relay decodes and forwards the received signals to Relay Users (RUs) outside the BS coverage area. Furthermore, we investigate a scenario where the relay broadcasts a common stream intended for the RUs in the second phase. Due to the broadcast nature of the transmission, this stream is inadvertently received by both the RUs and the BUs. Concurrently, the BS utilizes Spatial Division Multiple Access (SDMA) to transmit private streams to the BUs, resulting in BUs experiencing residual interference from the common stream transmitted from relay. Incorporating this residual common stream interference into our model results in a significant enhancement of the overall sum-rate achieved at the BUs. We derive a tractable lower bound on the ergodic sum-rates, enables us to develop closed-form solutions for power allocation that maximize the overall sum-rate in both phases. Extensive simulations validate that our proposed power allocation algorithm, in conjunction with a low-complexity precoder, significantly improves the sum-rate performance of DF relay RSMA networks compared to the SDMA-based benchmark designs under imperfect CSI at the transmitter and relay.




Abstract:The cell-free massive multiple-input multiple-output (CF-mMIMO) systems are crucial for 6G development due to their high spectral efficiency and uniform user-experienced data rates. A key aspect of CF-mMIMO is user association (UA) and optimal cluster formation. Traditional methods focusing solely on communication-related metrics fall short in this context, as sensing is becoming integral to 6G. This study delves into a framework for joint radar and communication (JRC) in CF-mMIMO systems and investigates JRC-based UA techniques. We propose a novel method to optimize UA, enhancing both communication spectral efficiency and sensing accuracy. Existing literature has not explored this dual requirement integration for UA. Our proposed two-step scheme optimizes UA clusters for both communication and sensing. The first step involves selecting access points (APs) based on channel quality, followed by a second step that further refines the selection by choosing APs from the initial group that are also optimal for sensing. We utilize the signal-clutter plus noise ratio to exclude APs with clutter in front of the user equipment (UE) and the AP view angle, ensuring that radar echoes are received only from the specific UE, not the surrounding clutter. Theoretical analysis and simulations demonstrate that the same APs optimized for communication are not necessarily optimal for sensing, highlighting the need for schemes that incorporate sensing requirements in UA. The results show the effectiveness of the proposed method, showing its potential to improve CF-mMIMO system performance in JRC scenarios.




Abstract:This study proposes an orthogonal frequency division multiplexing (OFDM) based scheme to achieve interference-free backscatter communications (BC) in a symbiotic radio system. In specific, we propose three frequency shift keying (FSK) based backscatter modulation schemes to shift the primary signal, i.e., the OFDM symbols transmitted from a base station (BS), in the frequency domain to transmit its information. Symbiotically, the BS empties specific subcarriers within the band so that the received frequency-shifted signals from the backscatter device and the primary signal are always orthogonal. The first scheme relies on the combination of on-off keying (OOK) within the FSK modulation while the second and the third schemes are based on the conventional FSK modulation with different in-band null-subcarrier allocation. These schemes allow the use of non-coherent detection at the receiver which addresses the channel estimation challenge for the signals arriving from a backscatter device. We derive the bit-error rate performance of the detector theoretically. The comprehensive simulations show that the proposed approach achieves a lower bit-error rate up to 10-4 at 30 dB with BC by eliminating direct link interference.
Abstract:In this paper, we propose a slot-based protocol that does not rely on global-time synchronization to achieve a self-healing mesh network. With the proposed protocol, each node synchronizes with its neighbors locally by adjusting its time to transmit based on the reception instant of a decoded beacon signal. Also, it determines its slots without any coordinator to avoid collisions. Finally, to communicate the messages over the mesh network, it identifies the forwarding nodes on the shortest path without knowing the entire communication graph. We show that the proposed protocol can effectively resolve collisions over time while enabling nodes to synchronize with each other in a distributed manner. We numerically analyze the performance of the proposed protocol for different configurations under a realistic channel model considering asymmetrical links. We also implement the proposed method in practice with \ac{LoRa} devices. We demonstrate that the nodes adapt themselves to changes in the network and deliver a message from a sensing node to a reference node via multi-hop routing.




Abstract:When using ultra-wideband (UWB) signaling on massive multiple-input multiple-output (mMIMO) systems, the electromagnetic wave at each array element incurs an extra propagation delay comparable to (or larger than) the symbol duration, producing a shift in beam direction known as beam squint. The beam squinting problem degrades the array gain and reduces the system capacity. This letter proposes a novel transceiver design based on lens antenna subarray (LAS) and analog subband filters to compensate for the beam squinting effect. In particular, the proposed design aims to divide the UWB signal into narrowband beams and control them with a simplified exhaustive search-based precoding that is proposed to align the beam angle to the target direction. The design is analyzed in terms of beam gain, complexity, power consumption, and capacity, demonstrating significant performance enhancement with respect to the conventional system with uncompensated beam squinting problem.




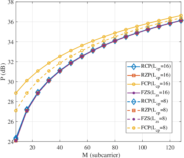
Abstract:Recently, orthogonal time-frequency-space (OTFS) modulation is used as a promising candidate waveform for high mobility communication scenarios. In practical transmission, OTFS with rectangular pulse shaping is implemented using different prefix/suffix configurations including reduced-cyclic prefix (RCP), full-CP (FCP), full-zero suffix (FZS), and reduced-zero padded (RZP). However, for each prefix/suffix type, different effective channel are seen at the receiver side resulting in dissimilar performance of the various OTFS configurations given a specific communication scenario. To fulfill this gap, in this paper, we study and model the effective channel in OTFS systems using various prefix/suffix configurations. Then, from the input-output relation analysis of the received signal, we show that the OTFS has a simple sparse structure for all prefix/suffix types, where the only difference is the phase term introduced when extending quasi-periodically in the delay-Doppler grid. We provide a comprehensive comparison between all OTFS types in terms of channel estimation/equalization complexity, symbol detection performance, power and spectral efficiencies, which helps in deciding the optimal prefix/suffix configuration for a specific scenario. Finally, we propose a novel OTFS structure namely reduced-FCP (RFCP) where the information of the CP block is decodable.