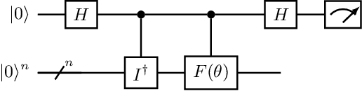
Abstract:Variational algorithms require architectures that naturally constrain the optimisation space to run efficiently. In geometric quantum machine learning, one achieves this by encoding group structure into parameterised quantum circuits to include the symmetries of a problem as an inductive bias. However, constructing such circuits is challenging as a concrete guiding principle has yet to emerge. In this paper, we propose the use of spin networks, a form of directed tensor network invariant under a group transformation, to devise SU(2) equivariant quantum circuit ans\"atze -- circuits possessing spin rotation symmetry. By changing to the basis that block diagonalises SU(2) group action, these networks provide a natural building block for constructing parameterised equivariant quantum circuits. We prove that our construction is mathematically equivalent to other known constructions, such as those based on twirling and generalised permutations, but more direct to implement on quantum hardware. The efficacy of our constructed circuits is tested by solving the ground state problem of SU(2) symmetric Heisenberg models on the one-dimensional triangular lattice and on the Kagome lattice. Our results highlight that our equivariant circuits boost the performance of quantum variational algorithms, indicating broader applicability to other real-world problems.




Abstract:Convolutional Neural Networks (CNN) are used mainly to treat problems with many images characteristic of Deep Learning. In this work, we propose a hybrid image classification model to take advantage of quantum and classical computing. The method will use the potential that convolutional networks have shown in artificial intelligence by replacing classical filters with variational quantum filters. Similarly, this work will compare with other classification methods and the system's execution on different servers. The algorithm's quantum feasibility is modelled and tested on Amazon Braket Notebook instances and experimented on the Pennylane's philosophy and framework.