



Abstract:Internet of Things devices are expanding rapidly and generating huge amount of data. There is an increasing need to explore data collected from these devices. Collaborative learning provides a strategic solution for the Internet of Things settings but also raises public concern over data privacy. In recent years, large amount of privacy preserving techniques have been developed based on differential privacy and secure multi-party computation. A major challenge of collaborative learning is to balance disclosure risk and data utility while maintaining high computation efficiency. In this paper, we proposed privacy preserving logistic regression model using matrix encryption approach. The secure scheme achieves local differential privacy and can be implemented for both vertical and horizontal partitioning scenarios. Moreover, cross validation is investigated to generate robust model results without increasing the communication cost. Simulation illustrates the high efficiency of proposed scheme to analyze dataset with millions of records. Experimental evaluations further demonstrate high model accuracy while achieving privacy protection.




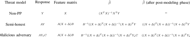
Abstract:Scientific collaborations benefit from collaborative learning of distributed sources, but remain difficult to achieve when data are sensitive. In recent years, privacy preserving techniques have been widely studied to analyze distributed data across different agencies while protecting sensitive information. Secure multiparty computation has been widely studied for privacy protection with high privacy level but intense computation cost. There are also other security techniques sacrificing partial data utility to reduce disclosure risk. A major challenge is to balance data utility and disclosure risk while maintaining high computation efficiency. In this paper, matrix masking technique is applied to encrypt data such that the secure schemes are against malicious adversaries while achieving local differential privacy. The proposed schemes are designed for linear models and can be implemented for both vertical and horizontal partitioning scenarios. Moreover, cross validation is studied to prevent overfitting and select optimal parameters without additional communication cost. Simulation results present the efficiency of proposed schemes to analyze dataset with millions of records and high-dimensional data (n << p).