



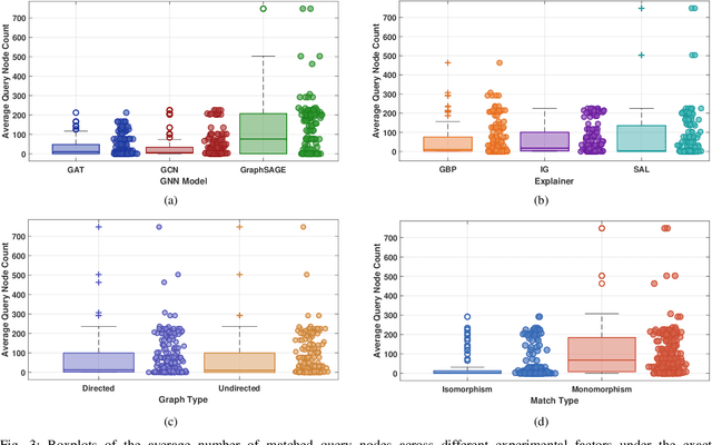
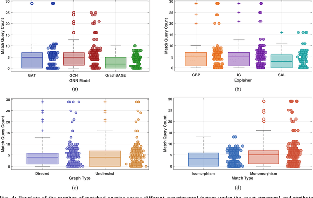
Abstract:Interpretable malware detection is crucial for understanding harmful behaviors and building trust in automated security systems. Traditional explainable methods for Graph Neural Networks (GNNs) often highlight important regions within a graph but fail to associate them with known benign or malicious behavioral patterns. This limitation reduces their utility in security contexts, where alignment with verified prototypes is essential. In this work, we introduce a novel dual prototype-driven explainable framework that interprets GNN-based malware detection decisions. This dual explainable framework integrates a base explainer (a state-of-the-art explainer) with a novel second-level explainer which is designed by subgraph matching technique, called SubMatch explainer. The proposed explainer assigns interpretable scores to nodes based on their association with matched subgraphs, offering a fine-grained distinction between benign and malicious regions. This prototype-guided scoring mechanism enables more interpretable, behavior-aligned explanations. Experimental results demonstrate that our method preserves high detection performance while significantly improving interpretability in malware analysis.
Abstract:Control Flow Graphs (CFGs) are critical for analyzing program execution and characterizing malware behavior. With the growing adoption of Graph Neural Networks (GNNs), CFG-based representations have proven highly effective for malware detection. This study proposes a novel framework that dynamically constructs CFGs and embeds node features using a hybrid approach combining rule-based encoding and autoencoder-based embedding. A GNN-based classifier is then constructed to detect malicious behavior from the resulting graph representations. To improve model interpretability, we apply state-of-the-art explainability techniques, including GNNExplainer, PGExplainer, and CaptumExplainer, the latter is utilized three attribution methods: Integrated Gradients, Guided Backpropagation, and Saliency. In addition, we introduce a novel aggregation method, called RankFusion, that integrates the outputs of the top-performing explainers to enhance the explanation quality. We also evaluate explanations using two subgraph extraction strategies, including the proposed Greedy Edge-wise Composition (GEC) method for improved structural coherence. A comprehensive evaluation using accuracy, fidelity, and consistency metrics demonstrates the effectiveness of the proposed framework in terms of accurate identification of malware samples and generating reliable and interpretable explanations.
Abstract:Control Flow Graphs and Function Call Graphs have become pivotal in providing a detailed understanding of program execution and effectively characterizing the behavior of malware. These graph-based representations, when combined with Graph Neural Networks (GNN), have shown promise in developing high-performance malware detectors. However, challenges remain due to the large size of these graphs and the inherent opacity in the decision-making process of GNNs. This paper addresses these issues by developing several graph reduction techniques to reduce graph size and applying the state-of-the-art GNNExplainer to enhance the interpretability of GNN outputs. The analysis demonstrates that integrating our proposed graph reduction technique along with GNNExplainer in the malware detection framework significantly reduces graph size while preserving high performance, providing an effective balance between efficiency and transparency in malware detection.