



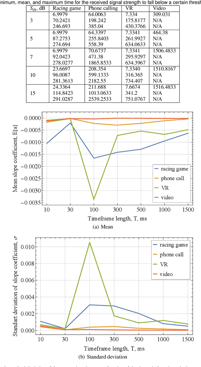
Abstract:Beam tracking is an essential functionality of millimeter wave (mmWave, 30-100 GHz) and sub-terahertz (sub-THz, 100-300 GHz) 5G/6G systems. It operates by performing antenna sweeping at both base station (BS) and user equipment (UE) sides using the Synchronization Signal Blocks (SSB). The optimal frequency of beam tracking events is not specified by 3GPP standards and heavily depends on the micromobility properties of the applications currently utilized by the user. In absence of explicit signalling for the type of application at the air interface, in this paper, we propose a way to remotely detect it at the BS side based on the received signal strength pattern. To this aim, we first perform a multi-stage measurement campaign at 156 GHz, belonging to the sub-THz band, to obtain the received signal strength traces of popular smartphone applications. Then, we proceed applying conventional statistical Mann-Whitney tests and various machine learning (ML) based classification techniques to discriminate applications remotely. Our results show that Mann-Whitney test can be used to differentiate between fast and slow application classes with a confidence of 0.95 inducing class detection delay on the order of 1 s after application initialization. With the same time budget, random forest classifiers can differentiate between applications with fast and slow micromobility with 80% accuracy using received signal strength metric only. The accuracy of detecting a specific application however is lower, reaching 60%. By utilizing the proposed technique one can estimate the optimal values of the beam tracking intervals without adding additional signalling to the air interface.