



Abstract:This study aims to evaluate PSDNet, a series of convolutional neural networks (ConvNets) trained with photographs to predict the particle size distribution of granular materials. Nine traditional feature extraction methods and 15 pretrained ConvNets were also evaluated and compared. A dataset including 9600 photographs of 15 different granular materials was used. The influence of image size and color band was verified by using six image sizes between 32 and 160 pixels, and both grayscale and color images as PSDNet inputs. In addition to random training, validation, and testing datasets, a material removal method was also used to evaluate the performances of each image analysis method. With this method, each material was successively removed from the training and validation datasets and used as the testing dataset. Results show that a combination of all PSDNet color and grayscale features can lead to a root mean square error (RMSE) on the percentages passing as low as 1.8 % with a random testing dataset and 9.1% with the material removal method. For the random datasets, a combination of all traditional features, and the features extracted from InceptionResNetV2 led to RMSE on the percentages passing of 2.3 and 1.7 %, respectively.




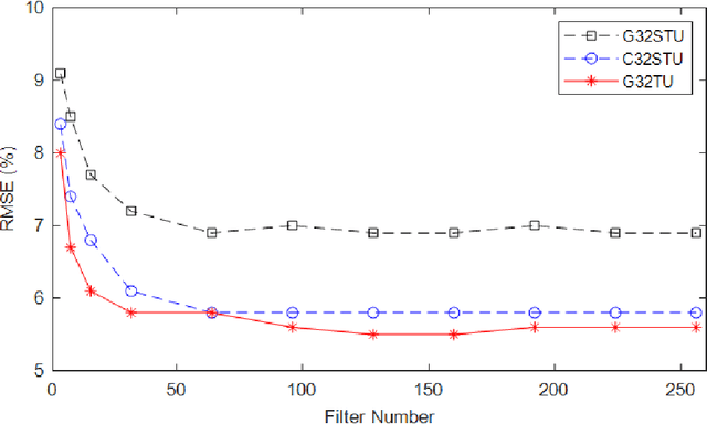
Abstract:This project aimed to determine the grain size distribution of granular materials from images using convolutional neural networks. The application of ConvNet and pretrained ConvNet models, including AlexNet, SqueezeNet, GoogLeNet, InceptionV3, DenseNet201, MobileNetV2, ResNet18, ResNet50, ResNet101, Xception, InceptionResNetV2, ShuffleNet, and NASNetMobile was studied. Synthetic images of granular materials created with the discrete element code YADE were used. All the models were trained and verified with grayscale and color band datasets with image sizes ranging from 32 to 160 pixels. The proposed ConvNet model predicts the percentages of mass retained on the finest sieve, coarsest sieve, and all sieves with root-mean-square errors of 1.8 %, 3.3 %, and 2.8 %, respectively, and a coefficient of determination of 0.99. For pretrained networks, root-mean-square errors of 2.4 % and 2.8 % were obtained for the finest sieve with feature extraction and transfer learning models, respectively.