



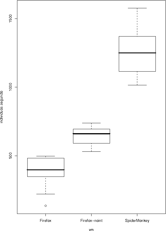
Abstract:The challenge of ad-hoc computing is to find the way of taking advantage of spare cycles in an efficient way that takes into account all capabilities of the devices and interconnections available to them. In this paper we explore distributed evolutionary computation based on the Ruby on Rails framework, which overlays a Model-View-Controller on evolutionary computation. It allows anybody with a web browser (that is, mostly everybody connected to the Internet) to participate in an evolutionary computation experiment. Using a straightforward farming model, we consider different factors, such as the size of the population used. We are mostly interested in how they impact on performance, but also the scaling behavior when a non-trivial number of computers is applied to the problem. Experiments show the impact of different packet sizes on performance, as well as a quite limited scaling behavior, due to the characteristics of the server. Several solutions for that problem are proposed.




Abstract:Websites of a particular class form increasingly complex networks, and new tools are needed to map and understand them. A way of visualizing this complex network is by mapping it. A map highlights which members of the community have similar interests, and reveals the underlying social network. In this paper, we will map a network of websites using Kohonen's self-organizing map (SOM), a neural-net like method generally used for clustering and visualization of complex data sets. The set of websites considered has been the Blogalia weblog hosting site (based at http://www.blogalia.com/), a thriving community of around 200 members, created in January 2002. In this paper we show how SOM discovers interesting community features, its relation with other community-discovering algorithms, and the way it highlights the set of communities formed over the network.