



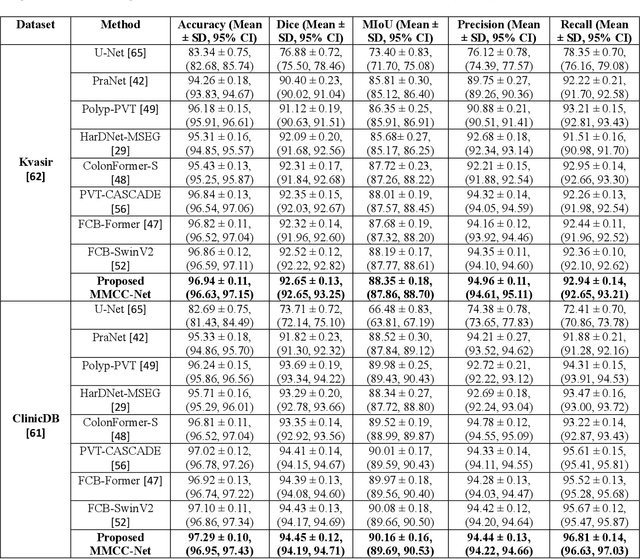
Abstract:Colorectal polyps are structural abnormalities of the gastrointestinal tract that can potentially become cancerous in some cases. The study introduces a novel framework for colorectal polyp segmentation named the Multi-Scale and Multi-Path Cascaded Convolution Network (MMCC-Net), aimed at addressing the limitations of existing models, such as inadequate spatial dependence representation and the absence of multi-level feature integration during the decoding stage by integrating multi-scale and multi-path cascaded convolutional techniques and enhances feature aggregation through dual attention modules, skip connections, and a feature enhancer. MMCC-Net achieves superior performance in identifying polyp areas at the pixel level. The Proposed MMCC-Net was tested across six public datasets and compared against eight SOTA models to demonstrate its efficiency in polyp segmentation. The MMCC-Net's performance shows Dice scores with confidence intervals ranging between (77.08, 77.56) and (94.19, 94.71) and Mean Intersection over Union (MIoU) scores with confidence intervals ranging from (72.20, 73.00) to (89.69, 90.53) on the six databases. These results highlight the model's potential as a powerful tool for accurate and efficient polyp segmentation, contributing to early detection and prevention strategies in colorectal cancer.




Abstract:In medical imaging, efficient segmentation of colon polyps plays a pivotal role in minimally invasive solutions for colorectal cancer. This study introduces a novel approach employing two parallel encoder branches within a network for polyp segmentation. One branch of the encoder incorporates the dual convolution blocks that have the capability to maintain feature information over increased depths, and the other block embraces the single convolution block with the addition of the previous layer's feature, offering diversity in feature extraction within the encoder, combining them before transpose layers with a depth-wise concatenation operation. Our model demonstrated superior performance, surpassing several established deep-learning architectures on the Kvasir and CVC-ClinicDB datasets, achieved a Dice score of 0.919, a mIoU of 0.866 for the Kvasir dataset, and a Dice score of 0.931 and a mIoU of 0.891 for the CVC-ClinicDB. The visual and quantitative results highlight the efficacy of our model, potentially setting a new model in medical image segmentation.
Abstract:Breast cancer (BC) significantly contributes to cancer-related mortality in women, underscoring the criticality of early detection for optimal patient outcomes. A mammography is a key tool for identifying and diagnosing breast abnormalities; however, accurately distinguishing malignant mass lesions remains challenging. To address this issue, we propose a novel deep learning approach for BC screening utilizing mammography images. Our proposed model comprises three distinct stages: data collection from established benchmark sources, image segmentation employing an Atrous Convolution-based Attentive and Adaptive Trans-Res-UNet (ACA-ATRUNet) architecture, and BC identification via an Atrous Convolution-based Attentive and Adaptive Multi-scale DenseNet (ACA-AMDN) model. The hyperparameters within the ACA-ATRUNet and ACA-AMDN models are optimised using the Modified Mussel Length-based Eurasian Oystercatcher Optimization (MML-EOO) algorithm. Performance evaluation, leveraging multiple metrics, is conducted, and a comparative analysis against conventional methods is presented. Our experimental findings reveal that the proposed BC detection framework attains superior precision rates in early disease detection, demonstrating its potential to enhance mammography-based screening methodologies.