Picture for Farhan Amad

Farhan Amad

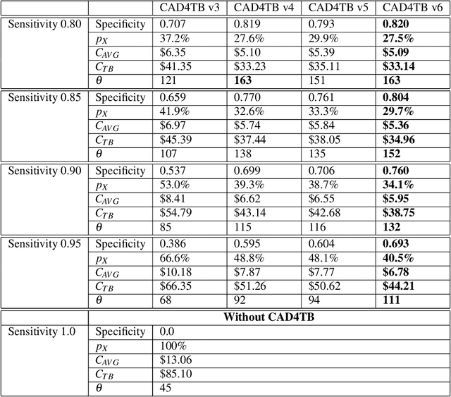
Computer aided detection of tuberculosis on chest radiographs: An evaluation of the CAD4TB v6 system

Add code
Mar 08, 2019
Figure 1 for Computer aided detection of tuberculosis on chest radiographs: An evaluation of the CAD4TB v6 system
Figure 2 for Computer aided detection of tuberculosis on chest radiographs: An evaluation of the CAD4TB v6 system
Figure 3 for Computer aided detection of tuberculosis on chest radiographs: An evaluation of the CAD4TB v6 system
Figure 4 for Computer aided detection of tuberculosis on chest radiographs: An evaluation of the CAD4TB v6 system
Viaarxiv icon