



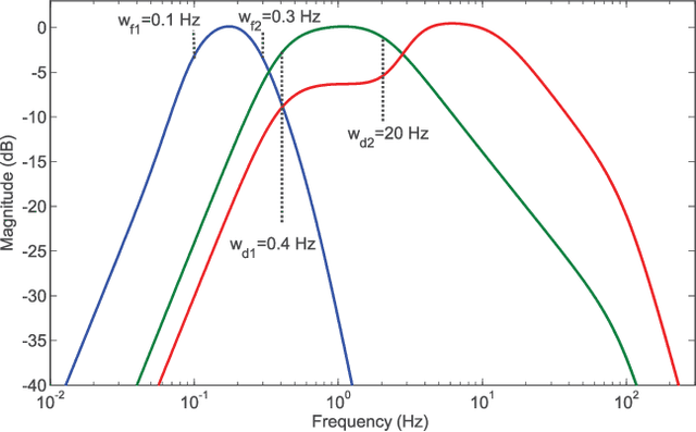
Abstract:New challenges on transport systems are emerging due to the advances that the current paradigm is experiencing. The breakthrough of the autonomous car brings concerns about ride comfort, while the pollution concerns have arisen in recent years. In the model of automated automobiles, drivers are expected to become passengers, so, they will be more prone to suffer from ride discomfort or motion sickness. Conversely, the eco-driving implications should not be set aside because of the influence of pollution on climate and people's health. For that reason, a joint assessment of the aforementioned points would have a positive impact. Thus, this work presents a self-organised map-based solution to assess ride comfort features of individuals considering their driving style from the viewpoint of eco-driving. For this purpose, a previously acquired dataset from an instrumented car was used to classify drivers regarding the causes of their lack of ride comfort and eco-friendliness. Once drivers are classified regarding their driving style, natural-language-based recommendations are proposed to increase the engagement with the system. Hence, potential improvements of up to the 57.7% for ride comfort evaluation parameters, as well as up to the 47.1% in greenhouse-gasses emissions are expected to be reached.