



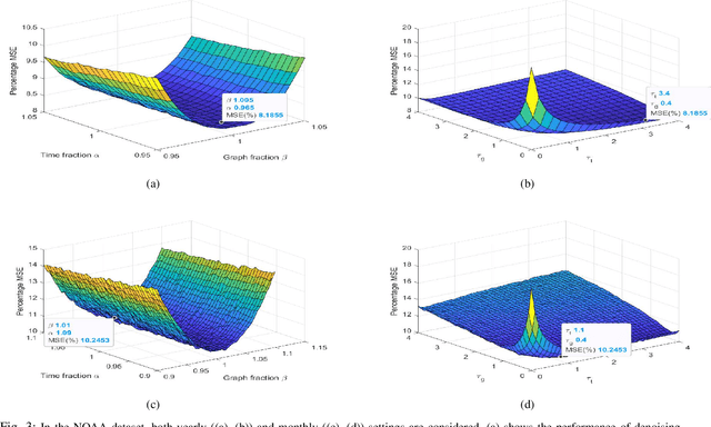
Abstract:Graphs signal processing successfully captures high-dimensional data on non-Euclidean domains by using graph signals defined on graph vertices. However, data sources on each vertex can also continually provide time-series signals such that graph signals on each vertex are now time-series signals. Joint time-vertex Fourier transform (JFT) and the associated framework of time-vertex signal processing enable us to study such signals defined on joint time-vertex domains by providing spectral analysis. Just as the fractional Fourier transform (FRT) generalizes the ordinary Fourier transform (FT), we propose the joint time-vertex fractional Fourier transform (JFRT) as a generalization to the JFT. JFRT provides an additional fractional analysis tool for joint time-vertex processing by extending both temporal and vertex domain Fourier analysis to fractional orders. We theoretically show that the proposed JFRT generalizes the JFT and satisfies the properties of index additivity, reversibility, reduction to identity, and unitarity (for certain graph topologies). We provide theoretical derivations for JFRT-based denoising as well as computational cost analysis. Results of numerical experiments are also presented to demonstrate the benefits of JFRT.