



Abstract:Large-scale ride-hailing systems often combine real-time routing at the individual request level with a macroscopic Model Predictive Control (MPC) optimization for dynamic pricing and vehicle relocation. The MPC relies on a demand forecast and optimizes over a longer time horizon to compensate for the myopic nature of the routing optimization. However, the longer horizon increases computational complexity and forces the MPC to operate at coarser spatial-temporal granularity, degrading the quality of its decisions. This paper addresses these computational challenges by learning the MPC optimization. The resulting machine-learning model then serves as the optimization proxy and predicts its optimal solutions. This makes it possible to use the MPC at higher spatial-temporal fidelity, since the optimizations can be solved and learned offline. Experimental results show that the proposed approach improves quality of service on challenging instances from the New York City dataset.




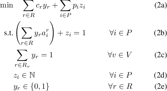
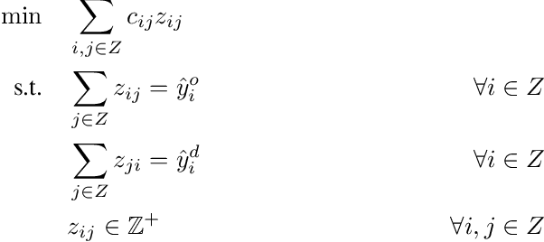
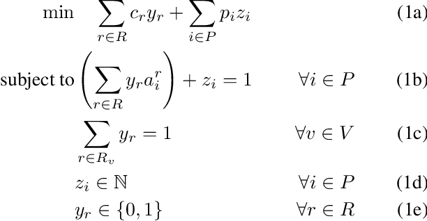
Abstract:Large-scale ride-sharing systems combine real-time dispatching and routing optimization over a rolling time horizon with a model predictive control(MPC) component that relocates idle vehicles to anticipate the demand. The MPC optimization operates over a longer time horizon to compensate for the inherent myopic nature of the real-time dispatching. These longer time horizons are beneficial for the quality of the decisions but increase computational complexity. To address this computational challenge, this paper proposes a hybrid approach that combines machine learning and optimization. The machine-learning component learns the optimal solution to the MPC optimization on the aggregated level to overcome the sparsity and high-dimensionality of the MPC solutions. The optimization component transforms the machine-learning predictions back to the original granularity via a tractable transportation model. As a consequence, the original NP-hard MPC problem is reduced to a polynomial time prediction and optimization. Experimental results show that the hybrid approach achieves 27% further reduction in rider waiting time than the MPC optimization, thanks to its ability to model a longer time horizon within the computational limits.




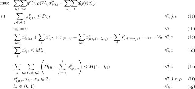
Abstract:This paper considers the dispatching of large-scale real-time ride-sharing systems to address congestion issues faced by many cities. The goal is to serve all customers (service guarantees) with a small number of vehicles while minimizing waiting times under constraints on ride duration. This paper proposes an end-to-end approach that tightly integrates a state-of-the-art dispatching algorithm, a machine-learning model to predict zone-to-zone demand over time, and a model predictive control optimization to relocate idle vehicles. Experiments using historic taxi trips in New York City indicate that this integration decreases average waiting times by about 30% over all test cases and reaches close to 55% on the largest instances for high-demand zones.