



Abstract:Phase Contrast Imaging (PCI), Dark-Field (DF) and Directional Dark-Field (DDF) imaging are recent X-ray imaging modalities that have demonstrated their interest by providing access to information and contrasts different from those provided by conventional absorption X-ray imaging. However, access to these two types of images is currently limited because the acquisitions require the use of coherent sources such as synchrotron radiation or complicated optical setups to exploit the coherence requirements. This work demonstrates the possibility of efficiently performing phase contrast, dark-field and directional dark-field imaging on a low-coherence laboratory system equipped with a conventional X-ray tube, using a simple, fast and robust single-mask technique. The transfer to a low spatial coherence laboratory system was made possible by using random modulation based imaging (MoBI) and extending the low coherence system algorithm to retrieve dark-field and directional dark-field.




Abstract:We present the PyHST2 code which is in service at ESRF for phase-contrast and absorption tomography. This code has been engineered to sustain the high data flow typical of the third generation synchrotron facilities (10 terabytes per experiment) by adopting a distributed and pipelined architecture. The code implements, beside a default filtered backprojection reconstruction, iterative reconstruction techniques with a-priori knowledge. These latter are used to improve the reconstruction quality or in order to reduce the required data volume and reach a given quality goal. The implemented a-priori knowledge techniques are based on the total variation penalisation and a new recently found convex functional which is based on overlapping patches. We give details of the different methods and their implementations while the code is distributed under free license. We provide methods for estimating, in the absence of ground-truth data, the optimal parameters values for a-priori techniques.




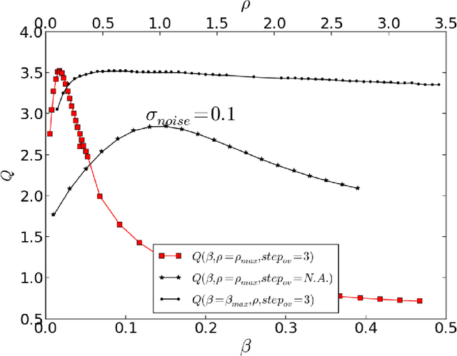
Abstract:We solve the image denoising problem with a dictionary learning technique by writing a convex functional of a new form. This functional contains beside the usual sparsity inducing term and fidelity term, a new term which induces similarity between overlapping patches in the overlap regions. The functional depends on two free regularization parameters: a coefficient multiplying the sparsity-inducing $L_{1}$ norm of the patch basis functions coefficients, and a coefficient multiplying the $L_{2}$ norm of the differences between patches in the overlapping regions. The solution is found by applying the iterative proximal gradient descent method with FISTA acceleration. In the case of tomography reconstruction we calculate the gradient by applying projection of the solution and its error backprojection at each iterative step. We study the quality of the solution, as a function of the regularization parameters and noise, on synthetic datas for which the solution is a-priori known. We apply the method on experimental data in the case of Differential Phase Tomography. For this case we use an original approach which consists in using vectorial patches, each patch having two components: one per each gradient component. The resulting algorithm, implemented in the ESRF tomography reconstruction code PyHST, results to be robust, efficient, and well adapted to strongly reduce the required dose and the number of projections in medical tomography.