



Abstract:In this paper, the idea of applying Computational Intelligence in the process of creation board games, in particular mazes, is presented. For two different algorithms the proposed idea has been examined. The results of the experiments are shown and discussed to present advantages and disadvantages.




Abstract:In order to identify an object, human eyes firstly search the field of view for points or areas which have particular properties. These properties are used to recognise an image or an object. Then this process could be taken as a model to develop computer algorithms for images identification. This paper proposes the idea of applying the simplified firefly algorithm to search for key-areas in 2D images. For a set of input test images the proposed version of firefly algorithm has been examined. Research results are presented and discussed to show the efficiency of this evolutionary computation method.




Abstract:Due to the huge availability of documents in digital form, and the deception possibility raise bound to the essence of digital documents and the way they are spread, the authorship attribution problem has constantly increased its relevance. Nowadays, authorship attribution,for both information retrieval and analysis, has gained great importance in the context of security, trust and copyright preservation. This work proposes an innovative multi-agent driven machine learning technique that has been developed for authorship attribution. By means of a preprocessing for word-grouping and time-period related analysis of the common lexicon, we determine a bias reference level for the recurrence frequency of the words within analysed texts, and then train a Radial Basis Neural Networks (RBPNN)-based classifier to identify the correct author. The main advantage of the proposed approach lies in the generality of the semantic analysis, which can be applied to different contexts and lexical domains, without requiring any modification. Moreover, the proposed system is able to incorporate an external input, meant to tune the classifier, and then self-adjust by means of continuous learning reinforcement.



Abstract:The BitTorrent mechanism effectively spreads file fragments by copying the rarest fragments first. We propose to apply a mathematical model for the diffusion of fragments on a P2P in order to take into account both the effects of peer distances and the changing availability of peers while time goes on. Moreover, we manage to provide a forecast on the availability of a torrent thanks to a neural network that models the behaviour of peers on the P2P system. The combination of the mathematical model and the neural network provides a solution for choosing file fragments that need to be copied first, in order to ensure their continuous availability, counteracting possible disconnections by some peers.




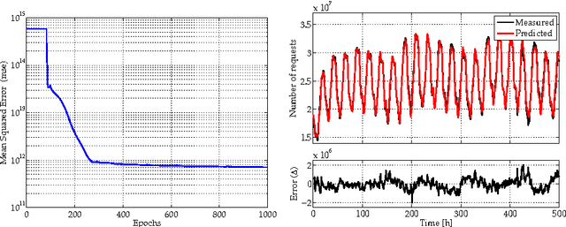
Abstract:For distributed systems to properly react to peaks of requests, their adaptation activities would benefit from the estimation of the amount of requests. This paper proposes a solution to produce a short-term forecast based on data characterising user behaviour of online services. We use \emph{wavelet analysis}, providing compression and denoising on the observed time series of the amount of past user requests; and a \emph{recurrent neural network} trained with observed data and designed so as to provide well-timed estimations of future requests. The said ensemble has the ability to predict the amount of future user requests with a root mean squared error below 0.06\%. Thanks to prediction, advance resource provision can be performed for the duration of a request peak and for just the right amount of resources, hence avoiding over-provisioning and associated costs. Moreover, reliable provision lets users enjoy a level of availability of services unaffected by load variations.




Abstract:Surface plasmon polaritons (SPPs) confined along metal-dielectric interface have attracted a relevant interest in the area of ultracompact photonic circuits, photovoltaic devices and other applications due to their strong field confinement and enhancement. This paper investigates a novel cascade neural network (NN) architecture to find the dependance of metal thickness on the SPP propagation. Additionally, a novel training procedure for the proposed cascade NN has been developed using an OpenMP-based framework, thus greatly reducing training time. The performed experiments confirm the effectiveness of the proposed NN architecture for the problem at hand.