



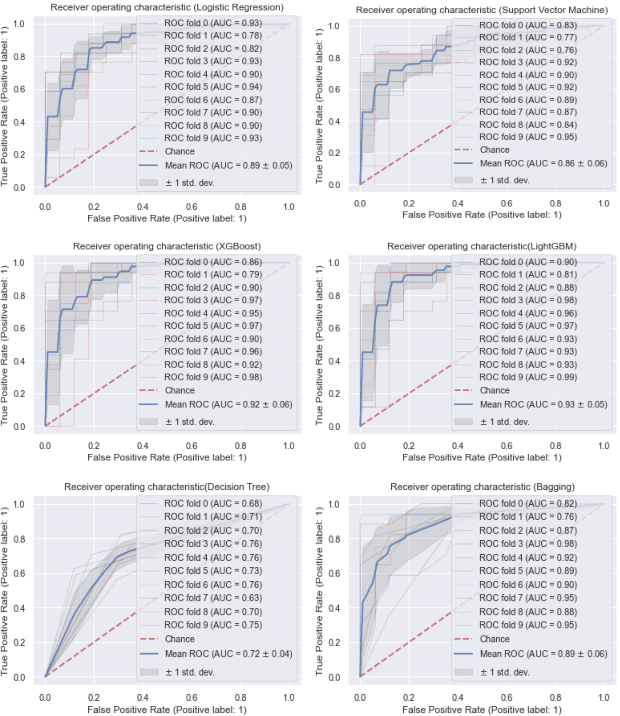
Abstract:Cardiovascular disease remains a leading cause of mortality in the contemporary world. Its association with smoking, elevated blood pressure, and cholesterol levels underscores the significance of these risk factors. This study addresses the challenge of predicting myocardial illness, a formidable task in medical research. Accurate predictions are pivotal for refining healthcare strategies. This investigation conducts a comparative analysis of six distinct machine learning models: Logistic Regression, Support Vector Machine, Decision Tree, Bagging, XGBoost, and LightGBM. The attained outcomes exhibit promise, with accuracy rates as follows: Logistic Regression (81.00%), Support Vector Machine (75.01%), XGBoost (92.72%), LightGBM (90.60%), Decision Tree (82.30%), and Bagging (83.01%). Notably, XGBoost emerges as the top-performing model. These findings underscore its potential to enhance predictive precision for coronary infarction. As the prevalence of cardiovascular risk factors persists, incorporating advanced machine learning techniques holds the potential to refine proactive medical interventions.




Abstract:This study delves into the application of graph neural networks in the realm of traffic forecasting, a crucial facet of intelligent transportation systems. Accurate traffic predictions are vital for functions like trip planning, traffic control, and vehicle routing in such systems. Three prominent GNN architectures Graph Convolutional Networks (Graph Sample and Aggregation) and Gated Graph Neural Networks are explored within the context of traffic prediction. Each architecture's methodology is thoroughly examined, including layer configurations, activation functions,and hyperparameters. The primary goal is to minimize prediction errors, with GGNNs emerging as the most effective choice among the three models. The research outlines outcomes for each architecture, elucidating their predictive performance through root mean squared error and mean absolute error (MAE). Hypothetical results reveal intriguing insights: GCNs display an RMSE of 9.10 and an MAE of 8.00, while GraphSAGE shows improvement with an RMSE of 8.3 and an MAE of 7.5. Gated Graph Neural Networks (GGNNs) exhibit the lowest RMSE at 9.15 and an impressive MAE of 7.1, positioning them as the frontrunner.