



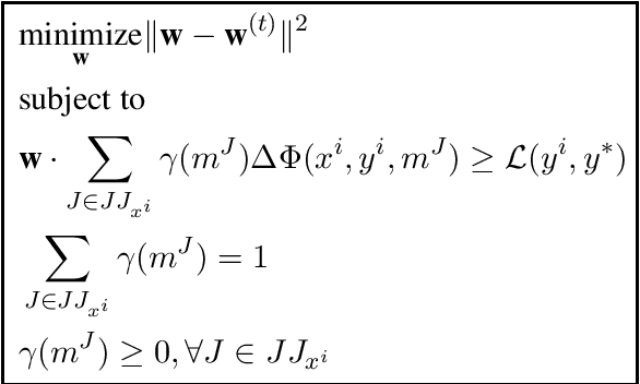
Abstract:We present the Structured Weighted Violation MIRA (SWVM), a new structured prediction algorithm that is based on an hybridization between MIRA (Crammer and Singer, 2003) and the structured weighted violations perceptron (SWVP) (Dror and Reichart, 2016). We demonstrate that the concepts developed in (Dror and Reichart, 2016) combined with a powerful structured prediction algorithm can improve performance on sequence labeling tasks. In experiments with syntactic chunking and named entity recognition (NER), the new algorithm substantially outperforms the original MIRA as well as the original structured perceptron and SWVP. Our code is available at https://github.com/dorringel/SWVM.