Abstract:This study demonstrates, for the first time, how a network of cellular base stations (BSs) - the infrastructure of mobile radio networks - can be used as a distributed opportunistic radar for rainfall remote sensing. By adapting signal-processing techniques traditionally employed in Doppler weather radar systems, we demonstrate that BS signals can be used to retrieve typical weather radar products, including reflectivity factor, mean Doppler velocity, and spectral width. Due to the high spatial density of BS infrastructure in urban environments, combined with intrinsic technical features such as electronically steerable antenna arrays and wide receiver bandwidths, the proposed approach achieves unprecedented spatial and temporal resolutions, on the order of a few meters and several tens of seconds, respectively. Despite limitations related to low transmitted power, limited antenna gain, and other system constraints, a major challenge arises from ground clutter contamination, which is exacerbated by the nearly horizontal orientation of BS antenna beams. This work provides a thorough assessment of clutter impact and demonstrates that, through appropriate processing, the resulting clutter-filtered radar moments reach a satisfactory level of quality when compared with raw observations and with measurements from independent BSs with overlapped field-of-views. The findings highlight a transformative opportunity for urban hydrometeorology: leveraging existing telecommunications infrastructure to obtain rainfall information with a level of spatial granularity and temporal immediacy like never before.




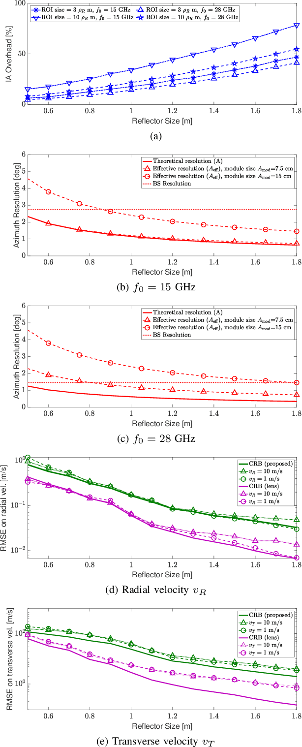
Abstract:Sensing in non-line-of-sight (NLOS) is one of the major challenges for integrated sensing and communication systems. Existing countermeasures for NLOS either use prior knowledge on the environment to characterize all the multiple bounces or deploy anomalous reflectors in the environment to enable communication infrastructure to ''\textit{see behind the corner}''. This work addresses the integration of monostatic NLOS imaging functionalities into the initial access (IA) procedure of a next generation base station (BS), by means of a non-reconfigurable modular reflector. During standard-compliant IA, the BS sweeps a narrow beam using a pre-defined dedicated codebook to achieve the beam alignment with users. We introduce the imaging functionality by enhancing such codebook with imaging-specific entries that are jointly designed with the angular configuration of the modular reflector to enable high-resolution imaging of a region in NLOS by \textit{coherently} processing all the echoes at the BS. We derive closed-form expressions for the near-field (NF) spatial resolution, as well as for the \textit{effective aperture} (i.e., the portion of the reflector that actively contributes to improve image resolution). The problem of imaging of moving targets in NLOS is also addressed, and we propose a maximum-likelihood estimation for target's velocity in NF and related theoretical bound. Further, we discuss and quantify the inherent communication-imaging performance trade-offs and related system design challenges through numerical simulations. Finally, the proposed imaging method employing modular reflectors is validated both numerically and experimentally, showing the effectiveness of our concept.




Abstract:Non-line-of-sight (NLOS) operation is one of the open issues to be solved for integrated sensing and communication (ISAC) systems to become a pillar of the future wireless infrastructure above 10 GHz. Existing NLOS countermeasures use either metallic mirrors, that are limited in coverage, or reconfigurable metasurfaces, that are limited in size due to cost. This paper focuses on integrated imaging and communication (IIAC) systems for NLOS exploration, where a base station (BS) serves the users while gathering a high-resolution image of the area. We exploit a large reflection plane, that is phase-configured in space and time jointly with a proper BS beam sweeping to provide a multi-view observation of the area and maximizing the image resolution. Remarkably, we achieve a near-field imaging through successive far-field acquisitions, limiting the design complexity and cost. Numerical results prove the benefits of our proposal.




Abstract:Sensing in non-line-of-sight (NLOS) is a well-known issue that limits the effective range of radar-like sensors. Existing approaches for NLOS sensing consider the usage of either metallic mirrors, that only work under specular reflection, or dynamically-reconfigurable metasurfaces that steer the signal to cover a desired area in NLOS, with the drawback of cost and control signaling. This paper proposes a novel sensing system, that allows a source to image a desired region of interest (ROI) in NLOS, using the combination of a proper beam sweeping (by the source) as well as a passive reflection plane configured as a periodic angular deflecting function (that allows illuminating the ROI). \textit{Stroboscopic sensing} is obtained by sweeping over a sufficiently large portion of the reflection plane, the source covers the ROI \textit{and} enhance the spatial resolution of the image, thanks to multiple diverse observation angles of ROI. Remarkably, the proposed system achieves a near-field imaging with a sequence of far-field acquisitions, thus limiting the implementation complexity. We detail the system design criteria and trade-offs, demonstrating the remarkable benefits of such a stroboscopic sensing system, where a possibly moving source can observe a ROI through multiple points of view as if it were static.




Abstract:This paper deals with radar imaging in non-line of sight (NLOS) with the aid of non-reconfigurable electromagnetic skins (NR-EMSs). NR-EMSs are passive metasurfaces whose reflection properties are defined during the manufacturing process, and represent a low-cost alternative to reconfigurable intelligent surfaces to implement advanced wave manipulations. We propose and discuss a multi-view near-field radar imaging system where a moving source progressively illuminates different portions of the NR-EMS, whereby each portion (\textit{module}) is purposely phase-configured to focus the impinging radiation over a desired NLOS area of interest. The source, e.g., a radar-equipped vehicle, synthesizes a wide aperture that maps onto the NR-EMS, allowing NLOS imaging with enhanced resolution compared to the standalone radar capabilities. Simulation results show the feasibility and benefits of such an imaging approach and shed light on a possible practical application of metasurfaces for sensing.