



Abstract:This work introduces an integrative approach based on Q-analysis with machine learning. The new approach, called Neural Hypernetwork, has been applied to a case study of pulmonary embolism diagnosis. The objective of the application of neural hyper-network to pulmonary embolism (PE) is to improve diagnose for reducing the number of CT-angiography needed. Hypernetworks, based on topological simplicial complex, generalize the concept of two-relation to many-body relation. Furthermore, Hypernetworks provide a significant generalization of network theory, enabling the integration of relational structure, logic and analytic dynamics. Another important results is that Q-analysis stays close to the data, while other approaches manipulate data, projecting them into metric spaces or applying some filtering functions to highlight the intrinsic relations. A pulmonary embolism (PE) is a blockage of the main artery of the lung or one of its branches, frequently fatal. Our study uses data on 28 diagnostic features of 1,427 people considered to be at risk of PE. The resulting neural hypernetwork correctly recognized 94% of those developing a PE. This is better than previous results that have been obtained with other methods (statistical selection of features, partial least squares regression, topological data analysis in a metric space).
Abstract:The past decade has seen the rapid development of the online newsroom. News published online are the main outlet of news surpassing traditional printed newspapers. This poses challenges to the production and to the consumption of those news. With those many sources of information available it is important to find ways to cluster and organise the documents if one wants to understand this new system. A novel bio inspired approach to the problem of traversing the news is presented. It finds Hamiltonian cycles over documents published by the newspaper The Guardian. A Second Order Swarm Intelligence algorithm based on Ant Colony Optimisation was developed that uses a negative pheromone to mark unrewarding paths with a "no-entry" signal. This approach follows recent findings of negative pheromone usage in real ants.




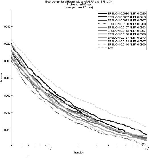
Abstract:An artificial Ant Colony System (ACS) algorithm to solve general-purpose combinatorial Optimization Problems (COP) that extends previous AC models [21] by the inclusion of a negative pheromone, is here described. Several Travelling Salesman Problem (TSP) were used as benchmark. We show that by using two different sets of pheromones, a second-order co-evolved compromise between positive and negative feedbacks achieves better results than single positive feedback systems. The algorithm was tested against known NP-complete combinatorial Optimization Problems, running on symmetrical TSP's. We show that the new algorithm compares favourably against these benchmarks, accordingly to recent biological findings by Robinson [26,27], and Gruter [28] where "No entry" signals and negative feedback allows a colony to quickly reallocate the majority of its foragers to superior food patches. This is the first time an extended ACS algorithm is implemented with these successful characteristics.