Abstract:Inspired by the close relationship between Kolmogorov complexity and unsupervised machine learning, we explore quantum circuit complexity, an important concept in quantum computation and quantum information science, as a pivot to understand and to build interpretable and efficient unsupervised machine learning for topological order in quantum many-body systems. To span a bridge from conceptual power to practical applicability, we present two theorems that connect Nielsen's quantum circuit complexity for the quantum path planning between two arbitrary quantum many-body states with fidelity change and entanglement generation, respectively. Leveraging these connections, fidelity-based and entanglement-based similarity measures or kernels, which are more practical for implementation, are formulated. Using the two proposed kernels, numerical experiments targeting the unsupervised clustering of quantum phases of the bond-alternating XXZ spin chain, the ground state of Kitaev's toric code and random product states, are conducted, demonstrating their superior performance. Relations with classical shadow tomography and shadow kernel learning are also discussed, where the latter can be naturally derived and understood from our approach. Our results establish connections between key concepts and tools of quantum circuit computation, quantum complexity, and machine learning of topological quantum order.
Abstract:Solving the ground state and the ground-state properties of quantum many-body systems is generically a hard task for classical algorithms. For a family of Hamiltonians defined on an $m$-dimensional space of physical parameters, the ground state and its properties at an arbitrary parameter configuration can be predicted via a machine learning protocol up to a prescribed prediction error $\varepsilon$, provided that a sample set (of size $N$) of the states can be efficiently prepared and measured. In a recent work [Huang et al., Science 377, eabk3333 (2022)], a rigorous guarantee for such an generalization was proved. Unfortunately, an exponential scaling, $N = m^{ {\cal{O}} \left(\frac{1}{\varepsilon} \right) }$, was found to be universal for generic gapped Hamiltonians. This result applies to the situation where the dimension of the parameter space is large while the scaling with the accuracy is not an urgent factor, not entering the realm of more precise learning and prediction. In this work, we consider an alternative scenario, where $m$ is a finite, not necessarily large constant while the scaling with the prediction error becomes the central concern. By exploiting physical constraints and positive good kernels for predicting the density matrix, we rigorously obtain an exponentially improved sample complexity, $N = \mathrm{poly} \left(\varepsilon^{-1}, n, \log \frac{1}{\delta}\right)$, where $\mathrm{poly}$ denotes a polynomial function; $n$ is the number of qubits in the system, and ($1-\delta$) is the probability of success. Moreover, if restricted to learning ground-state properties with strong locality assumptions, the number of samples can be further reduced to $N = \mathrm{poly} \left(\varepsilon^{-1}, \log \frac{n}{\delta}\right)$. This provably rigorous result represents a significant improvement and an indispensable extension of the existing work.




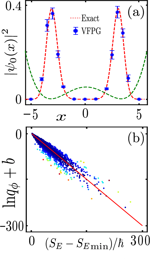
Abstract:Feynman path integrals provide an elegant, classically-inspired representation for the quantum propagator and the quantum dynamics, through summing over a huge manifold of all possible paths. From computational and simulational perspectives, the ergodic tracking of the whole path manifold is a hard problem. Machine learning can help, in an efficient manner, to identify the relevant subspace and the intrinsic structure residing at a small fraction of the vast path manifold. In this work, we propose the concept of Feynman path generator, which efficiently generates Feynman paths with fixed endpoints from a (low-dimensional) latent space, by targeting a desired density of paths in the Euclidean space-time. With such path generators, the Euclidean propagator as well as the ground state wave function can be estimated efficiently for a generic potential energy. Our work leads to a fresh approach for calculating the quantum propagator, paves the way toward generative modelling of Feynman paths, and may also provide a future new perspective to understand the quantum-classical correspondence through deep learning.