

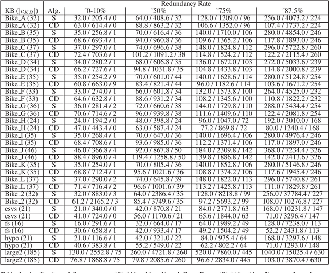
Abstract:Constraint-based environments such as configuration systems, recommender systems, and scheduling systems support users in different decision making scenarios. These environments exploit a knowledge base for determining solutions of interest for the user. The development and maintenance of such knowledge bases is an extremely time-consuming and error-prone task. Users often specify constraints which do not reflect the real-world. For example, redundant constraints are specified which often increase both, the effort for calculating a solution and efforts related to knowledge base development and maintenance. In this paper we present a new algorithm (CoreDiag) which can be exploited for the determination of minimal cores (minimal non-redundant constraint sets). The algorithm is especially useful for distributed knowledge engineering scenarios where the degree of redundancy can become high. In order to show the applicability of our approach, we present an empirical study conducted with commercial configuration knowledge bases.
Abstract:Constraint sets can become inconsistent in different contexts. For example, during a configuration session the set of customer requirements can become inconsistent with the configuration knowledge base. Another example is the engineering phase of a configuration knowledge base where the underlying constraints can become inconsistent with a set of test cases. In such situations we are in the need of techniques that support the identification of minimal sets of faulty constraints that have to be deleted in order to restore consistency. In this paper we introduce a divide-and-conquer based diagnosis algorithm (FastDiag) which identifies minimal sets of faulty constraints in an over-constrained problem. This algorithm is specifically applicable in scenarios where the efficient identification of leading (preferred) diagnoses is crucial. We compare the performance of FastDiag with the conflict-directed calculation of hitting sets and present an in-depth performance analysis that shows the advantages of our approach.