



Abstract:Event knowledge graphs (EKG) extend the classical notion of a trace to capture multiple, interacting views of a process execution. In this paper, we tackle the open problem of automating EKG discovery from uncurated data through a principled, probabilistic framing based on the outcome space resulting from featured-derived partial orders on events. From this, we derive an EKG discovery algorithm based upon statistical inference rather than an ad-hoc or heuristic-based strategy, or relying on manual analysis from domain experts. This approach comes at the computational cost of exploring a large, non-convex hypothesis space. In particular, solving the maximum likelihood term involves counting the number of linear extensions of posets, which in general is #P-complete. Fortunately, bound estimates suffice for model comparison, and admit incorporation into a bespoke branch-and-bound algorithm. We show that the posterior probability as defined is antitonic w.r.t. search depth for branching rules that are monotonic w.r.t. model inclusion. This allows pruning of large portions of the search space, which we show experimentally leads to rapid convergence toward optimal solutions that are consistent with manually built EKGs.




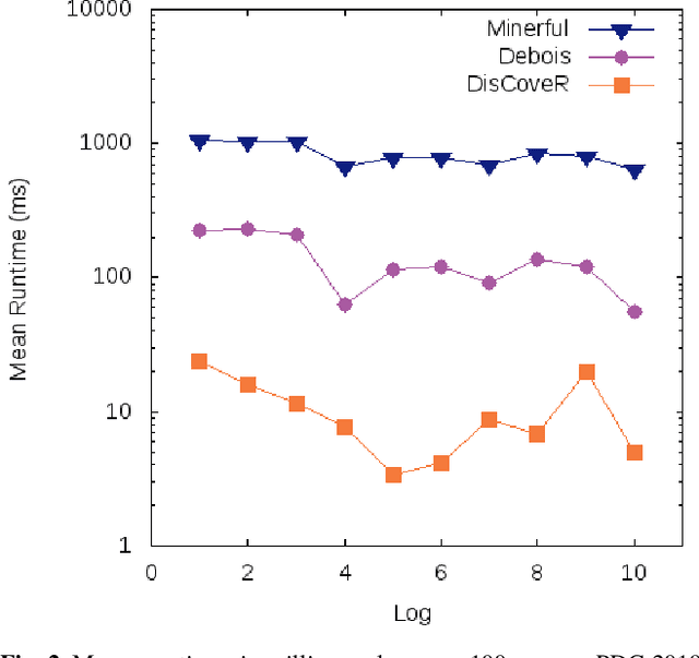
Abstract:Declarative process modeling formalisms - which capture high-level process constraints - have seen growing interest, especially for modeling flexible processes. This paper presents DisCoveR, an extremely efficient and accurate declarative miner for learning Dynamic Condition Response (DCR) Graphs from event logs. We precisely formalize the algorithm, describe a highly efficient bit vector implementation and rigorously evaluate performance against two other declarative miners, representing the state-of-the-art in Declare and DCR Graphs mining. DisCoveR outperforms each of these w.r.t. a binary classification task, achieving an average accuracy of 96.2% in the Process Discovery Contest 2019. Due to its linear time complexity, DisCoveR also achieves run-times 1-2 orders of magnitude below its declarative counterparts. Finally, we show how the miner has been integrated in a state-of-the-art declarative process modeling framework as a model recommendation tool, discuss how discovery can play an integral part of the modeling task and report on how the integration has improved the modeling experience of end-users.