



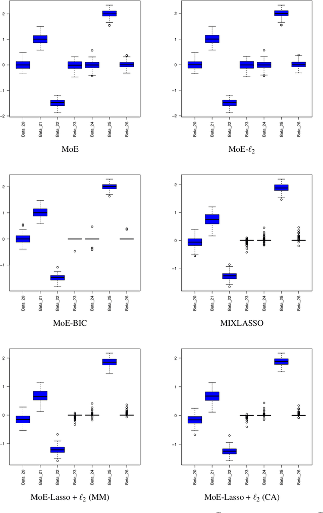
Abstract:Mixture of Experts (MoE) are successful models for modeling heterogeneous data in many statistical learning problems including regression, clustering and classification. Generally fitted by maximum likelihood estimation via the well-known EM algorithm, their application to high-dimensional problems is still therefore challenging. We consider the problem of fitting and feature selection in MoE models, and propose a regularized maximum likelihood estimation approach that encourages sparse solutions for heterogeneous regression data models with potentially high-dimensional predictors. Unlike state-of-the art regularized MLE for MoE, the proposed modelings do not require an approximate of the penalty function. We develop two hybrid EM algorithms: an Expectation-Majorization-Maximization (EM/MM) algorithm, and an EM algorithm with coordinate ascent algorithm. The proposed algorithms allow to automatically obtaining sparse solutions without thresholding, and avoid matrix inversion by allowing univariate parameter updates. An experimental study shows the good performance of the algorithms in terms of recovering the actual sparse solutions, parameter estimation, and clustering of heterogeneous regression data.