Picture for Antti Solonen

Antti Solonen

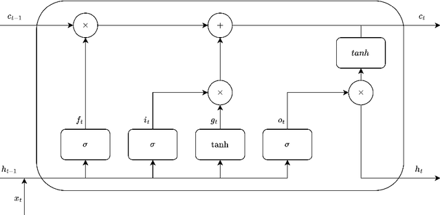
Bayesian LSTM for indoor temperature modeling

Add code
Apr 04, 2025
Figure 1 for Bayesian LSTM for indoor temperature modeling
Figure 2 for Bayesian LSTM for indoor temperature modeling
Figure 3 for Bayesian LSTM for indoor temperature modeling
Figure 4 for Bayesian LSTM for indoor temperature modeling
Viaarxiv icon