



Abstract:Moving towards $6^{\text{th}}$ generation (6G), backhaul networks require significant improvements to support new use-cases with restricted joint capacity and availability requirements. In this paper, we investigate the potentials and challenges of joint sub-teraHertz (sub-THz) and free space optical (FSO), in short sub-THz-FSO, multi-hop networks as a candidate technology for future backhaul communications. As we show, with a proper deployment, sub-THz-FSO networks have the potential to provide high-rate reliable backhauling, while there are multiple practical challenges to be address before they can be used in large-scale.
Abstract:In this work, we consider multi-hop and mesh hybrid teraHertz/free-space optics (THz/FSO)-based backhaul networks for high data-rate communications. The results are presented for the cases with both out-band integrated access and backhaul (IAB) and non-IAB based communication setups. We consider different deployments of the THz and FSO networks and consider both switching and combining methods between the hybrid FSO/THz links. We study the impact of atmospheric turbulence, atmospheric attenuation, and the pointing error on the FSO communication. The THz communication suffers from small scale fading, path-loss, and the misalignment error. Finally, we evaluate the effects of atmospheric attenuation/path-loss, pointing/misalignment error, small-scale fading, atmospheric turbulence, number of antennas, number of user equipments, number of hops, and the threshold data-rates on the performance of considered systems. As we show, with different network deployments and switching/combining methods, the hybrid implementation of the THz/FSO links improves the network reliability significantly.




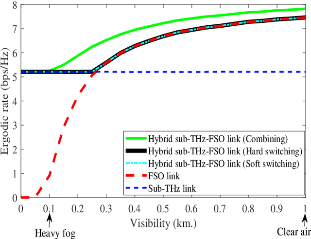
Abstract:In this work, a hybrid free-space optics (FSO)/ teraHertz (THz) based backhaul network is considered to provide high-data rate reliable communication to the terrestrial mobile users (MUs) operating at millimeter wave (mmWave) bands. The FSO link is affected by the atmospheric turbulence and pointing error impairments which are characterized with Gamma-Gamma and Rayleigh fading, respectively. At the FSO receiver, both the intensity modulated direct detection and heterodyne detection techniques are considered. The multi-antenna THz link suffers from both high path-loss and misalignment error. The THz channel is characterized with $\alpha-\mu$ distribution and misalignment error is characterized with Rayleigh fading. To minimize the effect of back-and-forth switching, soft switching method is introduced at the access point (AP) to select the signal coming through the hybrid FSO/THz link, and a comparison with hard switching method is presented. Selective decode-and-forward relaying is considered at the AP which is forwarding the successfully decoded backhaul signals to the terrestrial MUs. In this context, we derive closed-form expressions of the individual link's outage probability, end-to-end (E2E) outage probability, asymptotic outage probability, ergodic capacity, and average bit-error-rate of various modulation schemes. Finally, we study the effect of different parameters such as atmospheric turbulence, pointing/misalignment errors, link distance, path-loss, fading parameters of the THz and access links, and number of antennas on the network performance. Our results indicate that, with a proper switching method, the joint implementation of FSO/THz links, improves the rate/reliability of the backhaul links with limited switching overhead.