



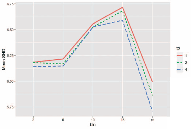
Abstract:Binning (a.k.a. discretization) of numerically continuous measurements is a wide-spread but controversial practice in data collection, analysis, and presentation. The consequences of binning have been evaluated for many different kinds of data analysis methods, however so far the effect of binning on causal discovery algorithms has not been directly investigated. This paper reports the results of a simulation study that examined the effect of binning on the Greedy Equivalence Search (GES) causal discovery algorithm. Our findings suggest that unbinned continuous data often result in the highest search performance, but some exceptions are identified. We also found that binned data are more sensitive to changes in sample size and tuning parameters, and identified some interactive effects between sample size, binning, and tuning parameter on performance.