



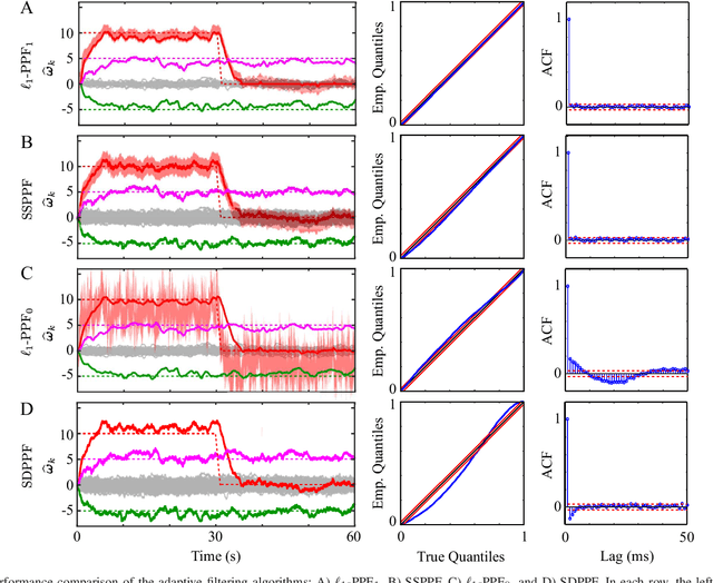
Abstract:We consider the problem of estimating the sparse time-varying parameter vectors of a point process model in an online fashion, where the observations and inputs respectively consist of binary and continuous time series. We construct a novel objective function by incorporating a forgetting factor mechanism into the point process log-likelihood to enforce adaptivity and employ $\ell_1$-regularization to capture the sparsity. We provide a rigorous analysis of the maximizers of the objective function, which extends the guarantees of compressed sensing to our setting. We construct two recursive filters for online estimation of the parameter vectors based on proximal optimization techniques, as well as a novel filter for recursive computation of statistical confidence regions. Simulation studies reveal that our algorithms outperform several existing point process filters in terms of trackability, goodness-of-fit and mean square error. We finally apply our filtering algorithms to experimentally recorded spiking data from the ferret primary auditory cortex during attentive behavior in a click rate discrimination task. Our analysis provides new insights into the time-course of the spectrotemporal receptive field plasticity of the auditory neurons.