

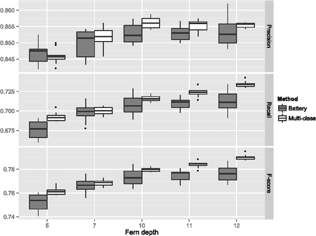
Abstract:In this paper we introduce multi-label ferns, and apply this technique for automatic classification of musical instruments in audio recordings. We compare the performance of our proposed method to a set of binary random ferns, using jazz recordings as input data. Our main result is obtaining much faster classification and higher F-score. We also achieve substantial reduction of the model size.




Abstract:In this paper, we first apply random ferns for classification of real music recordings of a jazz band. No initial segmentation of audio data is assumed, i.e., no onset, offset, nor pitch data are needed. The notion of random ferns is described in the paper, to familiarize the reader with this classification algorithm, which was introduced quite recently and applied so far in image recognition tasks. The performance of random ferns is compared with random forests for the same data. The results of experiments are presented in the paper, and conclusions are drawn.