



Abstract:In this article we present an unsupervised low-frequency method aimed at detecting and disaggregating the power used by Cumulative Water Heaters (CWH) in residential homes. Our model circumvents the inherent difficulty of unsupervised signal disaggregation by using both the shape of a power spike and its time of occurrence to identify the contribution of CWH reliably. Indeed, many CHWs in France are configured to turn on automatically during off-peak hours only, and we are able to use this domain knowledge to aid peak identification despite the low sampling frequency. In order to test our model, we equipped a home with sensors to record the ground-truth consumption of a water heater. We then apply the model to a larger dataset of energy consumption of Hello Watt users consisting of one month of consumption data for 5k homes at 30-minute resolution. In this dataset we successfully identified CWHs in the majority of cases where consumers declared using them. The remaining part is likely due to possible misconfiguration of CWHs, since triggering them during off-peak hours requires specific wiring in the electrical panel of the house. Our model, despite its simplicity, offers promising applications: detection of mis-configured CWHs on off-peak contracts and slow performance degradation.




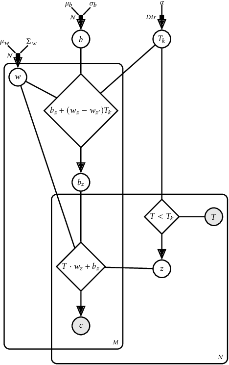
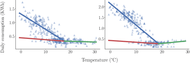
Abstract:Adoption of smart meters is a major milestone on the path of European transition to smart energy. The residential sector in France represents $\approx$35\% of electricity consumption with $\approx$40\% (INSEE) of households using electrical heating. The number of deployed smart meters Linky is expected to reach 35M in 2021. In this manuscript we present an analysis of 676 households with an observation period of at least 6 months, for which we have metadata, such as the year of construction and the type of heating and propose a Bayesian model of the electrical consumption conditioned on temperature that allows to disaggregate the heating component from the electrical load curve in an unsupervised manner. In essence the model is a mixture of piece-wise linear models, characterised by a temperature threshold, below which we allow a mixture of two modes to represent the latent state home/away.