



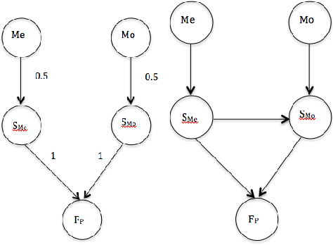
Abstract:Imagery is frequently used to model, represent and communicate knowledge. In particular, graphs are one of the most powerful tools, being able to represent relations between objects. Causal relations are frequently represented by directed graphs, with nodes denoting causes and links denoting causal influence. A causal graph is a skeletal picture, showing causal associations and impact between entities. Common methods used for graphically representing causal scenarios are neurons, truth tables, causal Bayesian networks, cognitive maps and Petri Nets. Causality is often defined in terms of precedence (the cause precedes the effect), concurrency (often, an effect is provoked simultaneously by two or more causes), circularity (a cause provokes the effect and the effect reinforces the cause) and imprecision (the presence of the cause favors the effect, but not necessarily causes it). We will show that, even though the traditional graphical models are able to represent separately some of the properties aforementioned, they fail trying to illustrate indistinctly all of them. To approach that gap, we will introduce Fuzzy Stochastic Timed Petri Nets as a graphical tool able to represent time, co-occurrence, looping and imprecision in causal flow.