



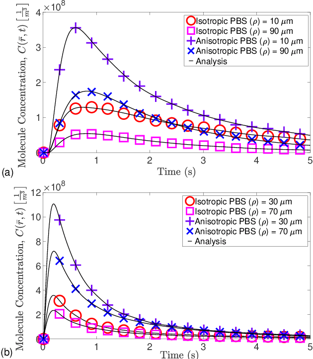
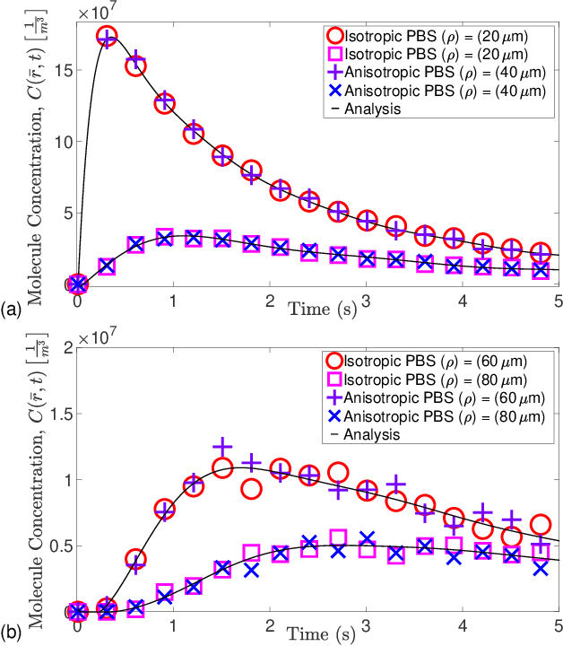
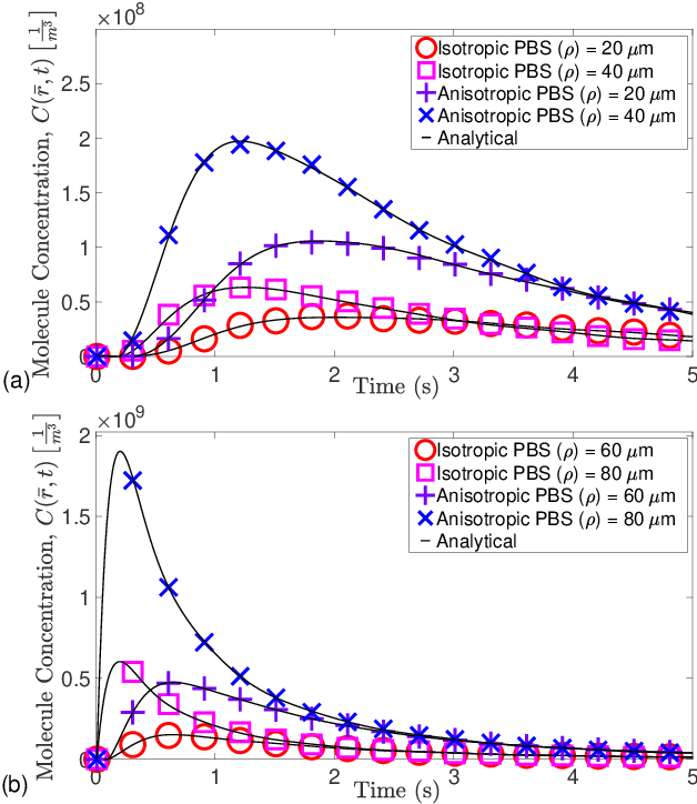
Abstract:A biofilm is a microbial city. It consists of bacteria embedded in an extracellular polymeric substance (EPS) that functions as a protective barrier. Quorum sensing (QS) is a method of bacterial communication, where autoinducers (AIs) propagate via diffusion through the EPS and water channels within the biofilm. This diffusion process is anisotropic due to varying densities between the EPS and water channels. This study introduces a 2D anisotropic diffusion model for molecular communication (MC) within biofilms, analyzing information propagation between a point-to-point transmitter (TX) and receiver (RX) in bounded space. The channel impulse response is derived using Green's function for concentration (GFC) and is validated with particle-based simulation (PBS). The outcomes reveal similar results for both isotropic and anisotropic diffusion when the TX is centrally located due to symmetry. However, anisotropic conditions lead to greater diffusion peaks when the TX is positioned off-center. Additionally, the propagation of AIs is inversely proportional to both overall biofilm size and and diffusion coefficient values. It is hypothesized that anisotropic diffusion supports faster responses to hostile environmental changes because signals can propagate faster from the edge of the biofilm to the center.
Abstract:Spheroids are aggregates of cells that can mimic the cellular organization often found in tissues. They are typically formed through the self-assembly of cells in a culture where there is a promotion of interactions and cell-to-cell communication. Spheroids can be created from various cell types, including cancer cells, stem cells, and primary cells, and they serve as valuable tools in biological research. In this letter, molecule propagation from a point source is simulated in the presence of multiple spheroids to observe the impact of the spheroids on the spatial molecule distribution. The spheroids are modeled as porous media with a corresponding effective diffusion coefficient. System variations are considered with a higher spheroid porosity (i.e., with a higher effective diffusion coefficient) and with molecule uptake by the spheroid cells (approximated as a first-order degradation reaction while molecules diffuse within the spheroid). Results provide initial insights about the molecule propagation dynamics and their potential to model transport and drug delivery within crowded spheroid systems.
Abstract:Using agar plates hosting a 2D cell population stimulated with signaling molecules is crucial for experiments such as gene regulation and drug discovery in a wide range of biological studies. In this paper, a biophysical model is proposed that incorporates droplet soaking, diffusion of molecules within agar, cell growth over an agar surface, and absorption of signaling molecules by cells. The proposed model describes the channel response and provides valuable insights for designing experiments more efficiently and accurately. The molecule release rate due to droplet soaking into agar, which is characterized and modeled as the source term for the diffusion model, is derived. Furthermore, cell growth is considered over the surface, which dictates the dynamics of signaling molecule reactions and leads to a variable boundary condition. As a case study, genetically-modified $E.\,coli$ bacteria are spread over the surface of agar and Isopropyl-beta-D thiogalactopyranoside (IPTG) is considered as a signaling molecule. IPTG droplets are dropped onto the bacteria-covered agar surface. The parameters for the IPTG molecule release rate as a diffusion source into the agar are estimated from this experiment. Then, a particle-based simulator is used to obtain the spatio-temporal profile of the signaling molecules received by the surface bacteria. The results indicate that the number of molecules reacting with or absorbed by bacteria at different locations on the surface could be widely different, which highlights the importance of taking this variation into account for biological inferences.