



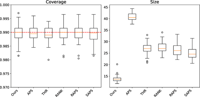
Conformal prediction is a powerful framework for constructing prediction sets with valid coverage guarantees in multi-class classification. However, existing methods often rely on a single score function, which can limit their efficiency and informativeness. We propose a novel approach that combines multiple score functions to improve the performance of conformal predictors by identifying optimal weights that minimize prediction set size. Our theoretical analysis establishes a connection between the weighted score functions and subgraph classes of functions studied in Vapnik-Chervonenkis theory, providing a rigorous mathematical basis for understanding the effectiveness of the proposed method. Experiments demonstrate that our approach consistently outperforms single-score conformal predictors while maintaining valid coverage, offering a principled and data-driven way to enhance the efficiency and practicality of conformal prediction in classification tasks.