



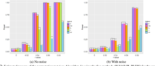
Over the past decade, the techniques of topological data analysis (TDA) have grown into prominence to describe the shape of data. In recent years, there has been increasing interest in developing statistical methods and in particular hypothesis testing procedures for TDA. Under the statistical perspective, persistence diagrams -- the central multi-scale topological descriptors of data provided by TDA -- are viewed as random observations sampled from some population or process. In this context, one of the earliest works on hypothesis testing focuses on the two-group permutation-based approach where the associated loss function is defined in terms of within-group pairwise bottleneck or Wasserstein distances between persistence diagrams (Robinson and Turner, 2017). However, in situations where persistence diagrams are large in size and number, the permutation test in question gets computationally more costly to apply. To address this limitation, we instead consider pairwise distances between vectorized functional summaries of persistence diagrams for the loss function. In the present work, we explore the utility of the Betti function in this regard, which is one of the simplest function summaries of persistence diagrams. We introduce an alternative vectorization method for the Betti function based on integration and prove stability results with respect to the Wasserstein distance. Moreover, we propose a new shuffling technique of group labels to increase the power of the test. Through several experimental studies, on both synthetic and real data, we show that the vectorized Betti function leads to competitive results compared to the baseline method involving the Wasserstein distances for the permutation test.