



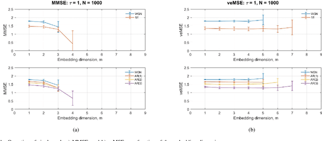
To quantify the complexity of a system, entropy-based methods have received considerable critical attentions in real-world data analysis. Among numerous entropy algorithms, amplitude-based formulas, represented by Sample Entropy, suffer from a limitation of data length especially when it comes to practical scenarios. And this shortcoming is further highlighted by involving coarse graining procedure in multi-scale process. The unbalance between embedding dimension and data size will undoubtedly result in inaccurate and undefined estimation. To that cause, Variational Embedding Multiscale Sample Entropy is proposed in this paper, which assigns signals from various channels with distinct embedding dimensions. And this algorithm is tested by both stimulated and real signals. Furthermore, the performance of the new entropy is investigated and compared with Multivariate Multiscale Sample Entropy and Variational Embedding Multiscale Diversity Entropy. Two real-world database, wind data sets with varying regimes and physiological database recorded from young and elderly people, were utilized. As a result, the proposed algorithm gives an improved separation for both situations.