



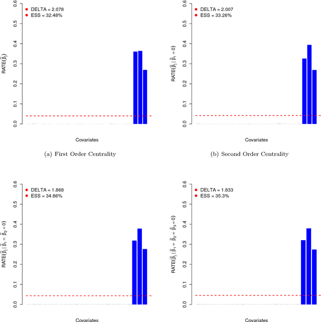
The central aim in this paper is to address variable selection questions in nonlinear and nonparametric regression. Motivated by statistical genetics, where nonlinear interactions are of particular interest, we introduce a novel and interpretable way to summarize the relative importance of predictor variables. Methodologically, we develop the "RelATive cEntrality" (RATE) measure to prioritize candidate genetic variants that are not just marginally important, but whose associations also stem from significant covarying relationships with other variants in the data. We illustrate RATE through Bayesian Gaussian process regression, but the methodological innovations apply to other "black box" methods. It is known that nonlinear models often exhibit greater predictive accuracy than linear models, particularly for phenotypes generated by complex genetic architectures. With detailed simulations and two real data association mapping studies, we show that applying RATE enables an explanation for this improved performance.