

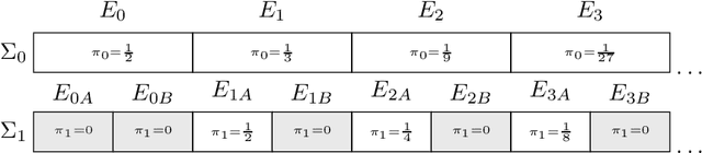
I propose a normative updating rule, extended Bayesianism, for the incorporation of probabilistic information arising from the process of becoming more aware. Extended Bayesianism generalizes standard Bayesian updating to allow the posterior to reside on richer probability space than the prior. I then provide an observable criterion on prior and posterior beliefs such that they were consistent with extended Bayesianism.