



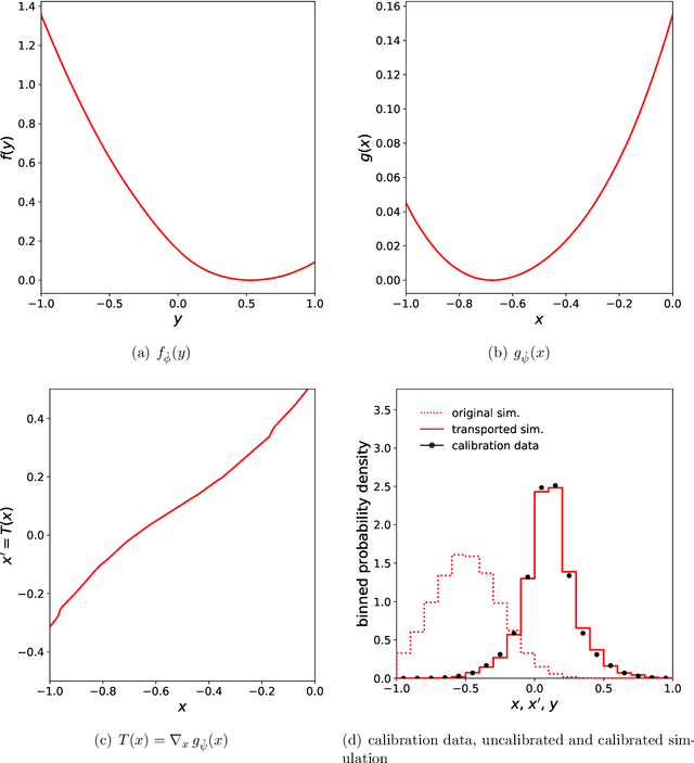
Stochastic simulators are an indispensable tool in many branches of science. Often based on first principles, they deliver a series of samples whose distribution implicitly defines a probability measure to describe the phenomena of interest. However, the fidelity of these simulators is not always sufficient for all scientific purposes, necessitating the construction of ad-hoc corrections to "calibrate" the simulation and ensure that its output is a faithful representation of reality. In this paper, we leverage methods from transportation theory to construct such corrections in a systematic way. We use a neural network to compute minimal modifications to the individual samples produced by the simulator such that the resulting distribution becomes properly calibrated. We illustrate the method and its benefits in the context of experimental particle physics, where the need for calibrated stochastic simulators is particularly pronounced.