



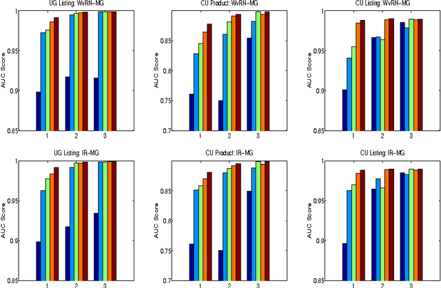
In this paper we provide a principled approach to solve a transductive classification problem involving a similar graph (edges tend to connect nodes with same labels) and a dissimilar graph (edges tend to connect nodes with opposing labels). Most of the existing methods, e.g., Information Regularization (IR), Weighted vote Relational Neighbor classifier (WvRN) etc, assume that the given graph is only a similar graph. We extend the IR and WvRN methods to deal with mixed graphs. We evaluate the proposed extensions on several benchmark datasets as well as two real world datasets and demonstrate the usefulness of our ideas.