



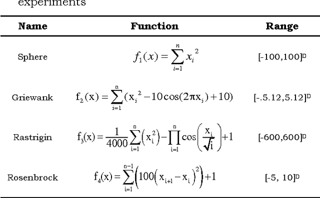
Many real-world phenomena can be modelled as dynamic optimization problems. In such cases, the environment problem changes dynamically and therefore, conventional methods are not capable of dealing with such problems. In this paper, a novel multi-swarm cellular particle swarm optimization algorithm is proposed by clustering and local search. In the proposed algorithm, the search space is partitioned into cells, while the particles identify changes in the search space and form clusters to create sub-swarms. Then a local search is applied to improve the solutions in the each cell. Simulation results for static standard benchmarks and dynamic environments show superiority of the proposed method over other alternative approaches.