



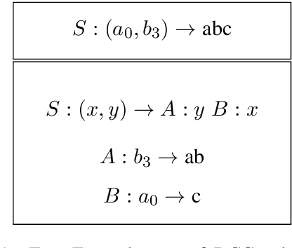
We propose an architecture and process for using the Iterated Learning Model ("ILM") for artificial neural networks. We show that ILM does not lead to the same clear compositionality as observed using DCGs, but does lead to a modest improvement in compositionality, as measured by holdout accuracy and topologic similarity. We show that ILM can lead to an anti-correlation between holdout accuracy and topologic rho. We demonstrate that ILM can increase compositionality when using non-symbolic high-dimensional images as input.