



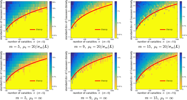
Various applications involve assigning discrete label values to a collection of objects based on some pairwise noisy data. Due to the discrete---and hence nonconvex---structure of the problem, computing the optimal assignment (e.g.~maximum likelihood assignment) becomes intractable at first sight. This paper makes progress towards efficient computation by focusing on a concrete joint alignment problem---that is, the problem of recovering $n$ discrete variables $x_i \in \{1,\cdots, m\}$, $1\leq i\leq n$ given noisy observations of their modulo differences $\{x_i - x_j~\mathsf{mod}~m\}$. We propose a low-complexity and model-free procedure, which operates in a lifted space by representing distinct label values in orthogonal directions, and which attempts to optimize quadratic functions over hypercubes. Starting with a first guess computed via a spectral method, the algorithm successively refines the iterates via projected power iterations. We prove that for a broad class of statistical models, the proposed projected power method makes no error---and hence converges to the maximum likelihood estimate---in a suitable regime. Numerical experiments have been carried out on both synthetic and real data to demonstrate the practicality of our algorithm. We expect this algorithmic framework to be effective for a broad range of discrete assignment problems.