



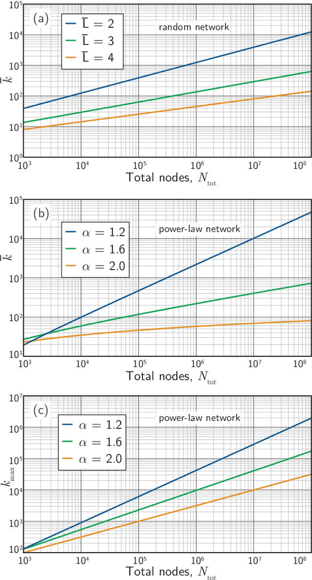
Electrons and photons offer complementary strengths for information processing. Photons are excellent for communication, while electrons are superior for computation and memory. Cognition requires distributed computation to be communicated across the system for information integration. We present reasoning from neuroscience, network theory, and device physics supporting the conjecture that large-scale cognitive systems will benefit from electronic devices performing synaptic, dendritic, and neuronal information processing operating in conjunction with photonic communication. On the chip scale, integrated dielectric waveguides enable fan-out to thousands of connections. On the system scale, fiber and free-space optics can be employed. The largest cognitive systems will be limited by the distance light can travel during the period of a network oscillation. We calculate that optoelectronic networks the area of a large data center ($10^5$\,m$^2$) will be capable of system-wide information integration at $1$\,MHz. At frequencies of cortex-wide integration in the human brain ($4$\,Hz, theta band), optoelectronic systems could integrate information across the surface of the earth.