



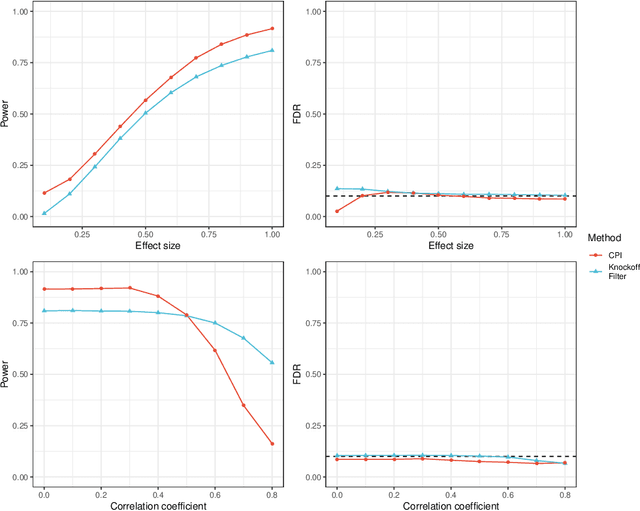
We propose a general test of conditional independence. The conditional predictive impact (CPI) is a provably consistent and unbiased estimator of one or several features' association with a given outcome, conditional on a (potentially empty) reduced feature set. The measure can be calculated using any supervised learning algorithm and loss function. It relies on no parametric assumptions and applies equally well to continuous and categorical predictors and outcomes. The CPI can be efficiently computed for low- or high-dimensional data without any sparsity constraints. We illustrate PAC-Bayesian convergence rates for the CPI and develop statistical inference procedures for evaluating its magnitude, significance, and precision. These tests aid in feature and model selection, extending traditional frequentist and Bayesian techniques to general supervised learning tasks. The CPI may also be used in conjunction with causal discovery algorithms to identify underlying graph structures for multivariate systems. We test our method in conjunction with various algorithms, including linear regression, neural networks, random forests, and support vector machines. Empirical results show that the CPI compares favorably to alternative variable importance measures and other nonparametric tests of conditional independence on a diverse array of real and simulated datasets. Simulations confirm that our inference procedures successfully control Type I error and achieve nominal coverage probability. Our method has been implemented in an R package, cpi, which can be downloaded from https://github.com/dswatson/cpi.