


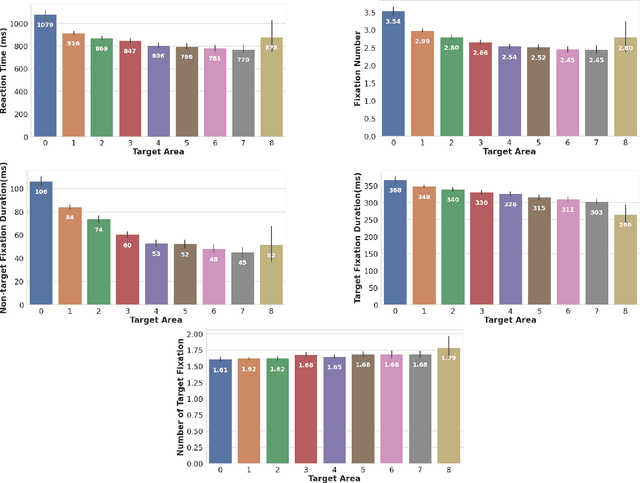
Visual Search is referred to the task of finding a target object among a set of distracting objects in a visual display. In this paper, based on an independent analysis of the COCO-Search18 dataset, we investigate how the performance of human participants during visual search is affected by different parameters such as the size and eccentricity of the target object. We also study the correlation between the error rate of participants and search performance. Our studies show that a bigger and more eccentric target is found faster with fewer number of fixations. Our code for the graphics are publicly available at https://github.com/ManooshSamiei/COCOSearch18_Analysis.