



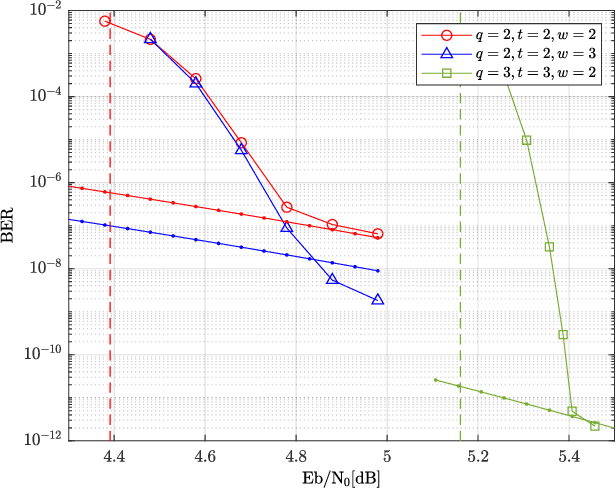
We propose a new family of spatially coupled product codes, called sub-block rearranged staircase (SR-staircase) codes. Each SR-staircase code block is constructed by encoding rearranged preceding code blocks and new information blocks, where the rearrangement involves sub-blocks decomposition and transposition. The proposed codes can be constructed to have each code block size of $1/q$ to that of the conventional staircase codes while having the same rate and component codes, for any positive integer $q$. In this regard, we can use strong algebraic component codes to construct SR-staircase codes with a similar or the same code block size and rate as staircase codes with weak component codes. Moreover, both waterfall and error floor performance can be further improved by using a large coupling width. The superior performance of the proposed codes is demonstrated through density evolution and error floor analysis as well as simulation.