



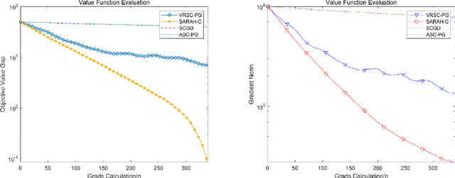
Stochastic compositional optimization arises in many important machine learning tasks such as value function evaluation in reinforcement learning and portfolio management. The objective function is the composition of two expectations of stochastic functions, and is more challenging to optimize than vanilla stochastic optimization problems. In this paper, we investigate the stochastic compositional optimization in the general smooth non-convex setting. We employ a recently developed idea of \textit{Stochastic Recursive Gradient Descent} to design a novel algorithm named SARAH-Compositional, and prove a sharp Incremental First-order Oracle (IFO) complexity upper bound for stochastic compositional optimization: $\mathcal{O}((n+m)^{1/2} \varepsilon^{-2})$ in the finite-sum case and $\mathcal{O}(\varepsilon^{-3})$ in the online case. Such a complexity is known to be the best one among IFO complexity results for non-convex stochastic compositional optimization, and is believed to be optimal. Our experiments validate the theoretical performance of our algorithm.