



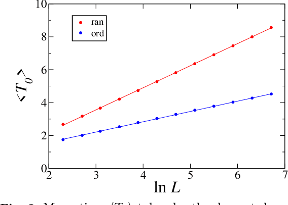
We present a model of speech perception which takes into account effects of correlations between sounds. Words in this model correspond to the attractors of a suitably chosen descent dynamics. The resulting lexicon is rich in short words, and much less so in longer ones, as befits a reasonable word length distribution. We separately examine the decryption of short and long words in the presence of mishearings. In the regime of short words, the algorithm either quickly retrieves a word, or proposes another valid word. In the regime of longer words, the behaviour is markedly different. While the successful decryption of words continues to be relatively fast, there is a finite probability of getting lost permanently, as the algorithm wanders round the landscape of suitable words without ever settling on one.